變結構控制
所謂變結構,是指當系統的狀態滿足一定的條件時,系統的控制結構將發生變化。變結構控制(VSC)就是當系統狀態穿越不同區域時,反饋控制的結構按照一定的規律發生變化,使得控制系統對被控對象的內在參數變化和外部環境擾動等因素具有一定的適應能力,保證系統性能達到期望的性能指標要求。
由於變結構控制具有抗擾性、自適應性、魯棒性、實現容易等優點,因此變結構控制引起了人們的普遍重視。
發展
變結構控制的研究始於 20 世紀 50 年代,前蘇聯學者 Emelyanov 等提出了變結構控制概念。隨後 Utkin,Itkis 等學者總結並發展了滑模變結構控制理論,奠定了滑模變結構控制的理論基礎。20 世紀 80 年代以來,隨著確定切換函式的系統性方法的出現和微分幾何理論的發展,變結構控制開始了新的發展階段。近二十年來,隨著計算機技術和大功率電子開關器件的發展,變結構控制的實現變得越來越容易,因此該方法受到了國內外控制界的廣泛重視,現已成為自動控制領域的重要設計方法,並在工程套用中得到了推廣套用。
變結構控制是指系統狀態達到切換函式值,系統從一個結構自動地切換到另一個確定的結構(結構是一組數學方程描述的模型)。從本質上講它具有開關切換特性,是一種控制系統的設計方法,適用於線性及非線性系統,包括控制系統的調節,跟蹤,自適應及不確定等系統。它具有一些優良特性,尤其是對加給系統的攝動和干擾有良好的自適應性。
分類
圖 1對變結構控制作了大致的分類,變結構控制可分為兩大類:
積分變結構控制一類是不具有滑動模態的變結構控制,如Bang-Bang 控制、輸出反饋變結構控制、多輸入繼電控制等。這一類控制只能稱為變結構控制,雖然控制器可根據反饋量改變系統的結構使系統穩定於平衡位置,但系統不存在一個可滑動的面。
另一類是具有滑動模態(簡稱為滑模或滑模面)的變結構控制。這一類控制可稱為滑模變結構控制或滑模控制,它的控制分為兩個步驟:首先是系統從初始狀態趨近於併到達滑模面,接著系統在滑模面上滑動併到達平衡位置。
變結構控制器都有一個切換面,如 x1,x2或者 x1+5x2,而具有滑動模態的切換面才稱為滑模面。
積分控制
作用
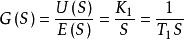
積分控制是指控制器輸出的控制信號岸(£)與其偏差輸入信號P(£)隨時間的積累值成比例。
積分控制的傳遞函式為
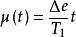
積分變結構控制積分控制的階躍回響為
積分變結構控制其階躍回響曲線如圖所示,由圖可見,積分時間Ti表示輸出量肛從開始變化到與輸入量相等時所需要的時間。
積分作用的階躍回響曲線積分控制的特點
積分控制的特點是無差控制,與比例控制的有差控制形成鮮明對比。式子表明,只有當被控量偏差e為零時,積分控制器的輸出才會保持不變,與此同時,控制器的輸出可以停在任何數值上。這意味著被控對象在負荷擾動下的控制過程結束後,被控量沒有靜態偏差,而調節閥則可以停在新的負荷所要求的開度上。
採用積分控制的控制系統,其調節閥開度與當時被控量的數值本身沒有直接關係,因此,積分控制也稱為浮動控制。
積分時間Ti對控制過程的影響
採用積分控制時,控制系統的開環增益與積分時間Ti成反比。因此,減小積分時間將增大系統的開環增益,會降低控制系統的穩定程度,直到最後出現發散的振盪過程。這從直觀上也是不難理解的,因為積分時間TI越小,積分作用越強,則調節閥的動作越快,就越容易引起和加劇振盪。但與此同時,振盪頻率將越來越高,而最大動態偏差則越來越小。被控量最後都沒有靜態偏差,這是積分控制的特點。當積分時間TI太小時,積分作用過強,容易引起和加劇振盪,甚至不穩定,但同時,振盪頻率將增高,而最大動態偏差則減小,見圖(a)。當積分時間TI太大時,積分作用過弱,最大動態偏差將很大,但同時振盪頻率將很小,見圖(c)。可見,積分時間TI。不宜過大也不宜過小,要兼顧最大動態偏差和振盪頻率,積分時間T-要取合適的值,見圖(b)。
積分變結構控制積分作用雖然能實現無差調節,但它往往導致系統發生振盪。分析圖中的a、c兩點,由於偏差的大小方向相同,積分作用將使輸出的控制作用加強,且大小相同。但a、c兩點代表的過程狀態並不完全相同。在a點時,偏差在上升,此時加強控制作用是正確的。在c點時,偏差雖然也為正,但偏差在下降,此時繼續加強控制作用將會導致過調,控制過程產生振盪。因此,一般不單獨採用積分控制器,而將它與比例作用結合構成比例積分(PI)控制器。
積分變結構控制積分變結構控制系統
考慮如下不確定線性被控對象的狀態方程
積分變結構控制
積分變結構控制
積分變結構控制其中,x∈R”,u∈R和f∈R分別為系統的狀態向量,控制輸入和擾動信號。矩陣A和b為被控對象標稱系統的參數矩陣,且{A.b}完全可控;而△A和 b為其相應的參數攝動矩陣。
積分變結構控制假設:被控系統的不確定性因素△A, b,d和Ad滿足如下的匹配條件,即根據上面的假設,系統的狀態方程式則可以寫為
積分變結構控制切換面的選擇
為了設計一個積分變結構滑動面。首先選擇一個滿足設計要求的傳遞函式Ⅲ,假設控制對象的標稱系統傳遞函式有棚個零點,表示為
積分變結構控制
積分變結構控制
積分變結構控制其中, 。根據圖取系統的輔助輸出,為了確定輔助輸出,給出下面引理。
被控對象的標稱傳遞函式方框圖設計
分散變結構控制的特點就在於控制量的非線性切換。這樣的切換控制需要兩方面的 設 計 :
一 是 選 擇 切 換 面 , 如 全 狀 態 滑 模 變 結 構 的 切 換 面 一 般 是,部分狀態滑模變結構的切換面只是一部分狀態反饋的線性組合,而非滑模變結構的切換面一般是某一個狀態反饋;
二是切換控制律,它一般表示,其中 K(x)為切換項增益,f (s(x))為切換控制器,常用的切換控制器有理想繼電器、滯環繼電器等,是最常用的切換控制律。
全狀態滑模面設計
滑模面的設計是滑模變結構控制的核心問題。滑模面設計的好壞決定系統的性能,它同時還關係到系統的穩定性和抖振的大小。滑模面的設計方法較多,具有代表性的方法有基於降階的滑模面設計、基於線性矩陣不等式(LMI)的滑模面設計、時變滑模面設計等。
非滑模變結構切換面設計
非滑模變結構切換面的設計具有更強的靈活性,同時也需要利用多種手段來分析它們。學者 Boiko、Huang、Oliveira、Plestan 提出了多種切換面設計方法,也考慮了切換面與系統的穩定關係。
圖2 滯環繼電器補償控制圖 2、圖3列出了 Boiko 提出的兩種控制方法。Boiko 採用描述函式(DF)法和 LPRS 法分析它們的穩定性。圖 2控制器將系統輸出作為切換面,Boiko 利用 DF 法分析滯環繼電器和 W(jω)的幅相頻率特性。若無法得到期望的性能,則設計補償環節,調節 W(jω)的幅相頻率特性的分布。
圖3 多輸入繼電器控制圖 3將系統輸出 y(t)及其導數y'(t)作為控制器的兩個切換面,通過改變兩繼電器增益,可使其描述函式在第二象限旋轉,從而改善系統控制精度。
切換控制器設計
切換控制器關係到系統魯棒性和抖振特性。常用的切換控制器類型有理想繼電器、飽和函式、滯環繼電器、2-SMC等。
(1) 理想繼電器是最常用的切換控制器,系統狀態一旦穿越切換面,理想繼電器就輸出反向控制量,因此具有很好的魯棒性,但它容易受到噪聲的影響,且易引入較快的抖振頻率。
(2) 飽和函式抑制抖振的效果明顯,但它可能使滑模控制失去魯棒性。
(3)滯環繼電器使切換控制器變得相對遲鈍,增大了切換面寬度,降低了控制精度,但通過改變遲滯量可調節抖振幅度和頻率。
(4)2-SMC 具有多個控制參數,通過改變這些參數可更加靈活地調節控制器的魯棒性和抖振特性,抖振頻率既能降低也能提高。
