定義
積分吸收
積分吸收
積分吸收
積分吸收若光強為的特徵譜線通過厚度為l的原子蒸氣時,一部分光被吸收,透過光的強度 為,與紫外-可見分光光度法中一樣,與 服 從 Lambert定律,即
積分吸收
積分吸收是吸收係數,它與入射光的頻率、基態原子濃度及原子化溫度等有關。 分子吸收光譜寬頻上的任意各點是與不同的能級躍遷(主要是振轉能級不同)相聯繫的,其吸收係數與分子濃度成正比。而原子吸收線輪廓是同種基態原子在吸收其共振輻射時被展寬了的吸收帶,原子吸收線輪廓上的仃意各點都與相同的能級躍遷相聯繫。 因此,基態原子濃度與吸收線輪廓所包括的面積(稱為積分吸收)成正比。吸收線的積分吸收(integrated absorption)數學表達式為
積分吸收
積分吸收
積分吸收
積分吸收
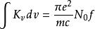
積分吸收式中,c是光速 ;m,e分別為電子的質量和電荷 ;f 是振子強度,表示能被人射光激發的每個原子的平均電子數;是單位體積內能夠吸收頻率為±範圍內輻射的基態原子數目,因激發態原子數目所占比例非常少,。在一定條件下,對於給定的元素,f 可為定值,式 中 TT、e、m、c 為常數,用K表示。可以看出,積分吸收與被測元素原子的總數N呈簡單的線性關係。
積分吸收但由於大多數元素的收線的半寬度為 左右 ,測定如此窄的積分收要求單色器的解析度達50萬以上的色散儀,這是長期以來未能實現積分測量的原因。現代技術已解決了積分測最的技術問題,但是為了降低成本,仍然採用低解析度的色散儀,以峰值吸收測量法代替積分吸收法進行定量分析。
套用舉例
積分吸收
積分吸收
積分吸收
積分吸收
積分吸收為了滿足氮氧化物工業排放濃度檢測和氮氧化物排放總量控制的要求,本文基於積分光譜技術對二氧化氮氣體濃度進行了檢測。建立了基於積分吸收光譜技術的氣體分析方法和光學參量與氣體濃度之間的關係。研究了積分吸收光譜技術的探測限、零點漂移、量程漂移和測量誤差。實驗結果表明在信噪比為2 時二氧化氮氣體探測限為1 mg /。零點漂移小於1 mg /,滿量程漂移小於0.6%,最大相對誤差為0. 5%。證明了基於積分吸收光譜技術可以實現固定污染源排放氣體濃度的高精度直接檢測。
二氧化氮濃度檢測裝置
積分吸收
積分吸收圖 1所示為二氧化氮濃度測量的實驗裝置,光源採用鎢燈,其(鎢燈)發射光譜如圖2所示,在 420 ~510 nm具有較平坦的發射譜,在此波段二氧化氮氣體的吸收截面在350 ~550 nm波段具有較強的震盪吸收,鎢燈適合作為二氧化氮測量光源。鎢燈發射光經過石英透鏡變成平行光,平行光經過一個連線埠為石英的氣體池,再次經過石英透鏡耦合入光纖,因為二氧化氮氣體具有毒性,實驗屮使用的為密閉樣品池,樣品池長度 1 m;探測器選用了性能優越的Maya2000pro光譜儀,光譜儀光譜範圍是410 ~530 nm,光譜解析度是0.13nm,經過光纖光譜儀探測到的光譜數據傳入電腦,並利用基於本文介紹的光譜處理方法編寫的數據處邱程式處理實時得到的二氧化氮氣體濃度。在測量中利用真空泵、真空計、氮氣和系列標準氣體為樣品池充入二氧化氮氣體和氮氣,靜態測量時 ,通過真空泵把氣體池抽成真空,用真空計監測真空度,當真空度達到100Pa以下時,停止抽真空並向氣體池充入標準氣體或者氮氣到一個大氣壓。在動態測量屮打開氣體池兩個閥,標準氣體或者氮氣按照閌定流速動態通過一個閥充入氣體池 ,經另一個閥排放到廢氣收集裝置中。
測量的線性度和探測限
積分吸收線性度和探測限是氣體濃度檢測兩個重要指標 ,為了確定枳分吸收光譜技術的線性度,在樣品池屮依次充入了 15種不同濃度的二氧化氮標準氣體 ,基於前面介紹的光譜處理方法對應得到了15個不同的光學參數。光學參標準氣體標稱濃度之間的對應關係如圖 4 所 示 ,從圖屮可以看出網者具有很好的線性關係,相關係數的平方達到了 0.999,光學參數與氣體濃度比例係數是34.7。通過氣體濃度與信噪比的關係可以確定枳分吸收光譜技術的探測限 ,在相同的濃度K ,得到的吸收信號的信噪比越大 ,表明此技術的探測限越小 ,通過測量系列濃度的二氧化氮標準氣體計算得到測量每個濃度的信噪比積分吸收光譜技 術測量的氣體濃度與信噪比之間關係如圖5所示可以獲得二氧化氮氣體濃度在信噪比為2時探測限為1毫克每立方米。

