基本介紹
穆爾-彭羅斯廣義逆矩陣是一種廣義逆矩陣,設A是s×n復矩陣,如果n×s復矩陣G滿足:
1.AGA=A;
2.GAG=G;
穆爾-彭羅斯廣義逆矩陣3.( )′=AG;
穆爾-彭羅斯廣義逆矩陣4.( )′=GA,
則G稱為A的 穆爾-彭羅斯廣義逆矩陣。顯然,A與G互為穆爾-彭羅斯廣義逆,任意的s×n復矩陣A有惟一的穆爾-彭羅斯廣義逆,記為A 。
相關性質
矩陣A的廣義逆A 有如下的性質:
1.A 的秩r(A )=r(A)=r(A′);
2.(A ) =A;
3.(A′) =(A )′,因此,若A是對稱矩陣,則A+也是對稱矩陣;
4.(A′A) =A (A )′,因此,若A是半正定矩陣,則A 也是半正定矩陣;
5.AA ,A A都是冪等矩陣。
穆爾-彭羅斯廣義逆矩陣在最小二乘法中有用 。
相關說明
設A為m×n的實矩陣,若n×m的矩陣H滿足下列條件:
AHA= A,HAH=H,(AH) =AH,(HA)T= HA (1)
則H稱為A的穆爾-彭羅斯廣義逆矩陣。該逆矩陣的唯一解通常表示為A 。可證明,若對A進行奇異值分解,即:
A= USV , (2)
那么,根據正交矩陳的特性 :
A = VS U , (3)
式中S 是n×m的矩陣,
穆爾-彭羅斯廣義逆矩陣
穆爾-彭羅斯廣義逆矩陣其中
穆爾-彭羅斯廣義逆是很多廣義逆之一(Ben-Israel和Greville,1974)。也就是說,對當作逆的矩陣H有其它選擇,因而對問題Ax= b可得不同的近似解。例如,在阻尼最小二乘方法(或脊式回歸)中,矩陣H選為:
H= VFS+U (7a)
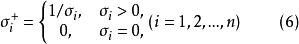
該式中F是n×n對角濾波矩陣,其分量為:
穆爾-彭羅斯廣義逆矩陣(7b)
式中θ是大大小於最大奇異值σ的調節參數。
穆爾-彭羅斯廣義逆矩陣
穆爾-彭羅斯廣義逆矩陣該逆矩陣H的作用是產生估算值 ,與穆爾-彭羅斯廣義逆的解所得的值相比,可能它的沿相應於最小奇異值的奇異矢量分量被阻尼了。可以證明該 是下列問題的解:
穆爾-彭羅斯廣義逆矩陣對 求極小 (7c)
這樣就代表了在數據擬合和解的大小限制之間的折衷。這種思路也用於非線性最小二乘法,即大家熟知的利文伯格-馬今特法中(Levenberg-Marquardt method ) 。
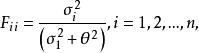
與一般的逆矩陣不同,即使矩陣是奇異的,穆爾-彭羅斯的廣義逆矩陣總是存在的。在構成這種廣義逆矩陣時,必須小心地處理零奇異值。在式(6)中, 僅當σ>0時,定義σ =1/σ而當σ= 0時,則定義σ =0。這就避免了一般求逆時由σ =1/σ帶來的問題。而且,奇異值可幫助理解矩陣的秩和矩陣的條件。
通常矩陣秩定義為最大互不相關的列數,這樣一個定義實際上很難套用於一般矩陣。然而若矩陣是三角形的,秩就是非零對角元素的數目。由於正交變換,比如在奇異值分解中的變換,並不影響秩,立即可以發現A的秩與其奇異值分解中S的秩相等,因此矩陣秩實用的定義是非零奇異值的數目。由於計算機精度有限,可能很難區別一個小奇異值和零奇異值,因而定義有效秩是大於某預定容限的奇異值數。容限反映了機器和數據的精度。
最後需指出,廣義逆的奇異值分解(SVD)方法為我們的問題提供了有效的分析手段。哥魯布和萊因思奇(Golub,Reinsch,1970)研究出奇異值分解的數值計算。在大多數計算中心,子程式庫中一般都有奇異值分解子程式。雖然奇異值分解分析比喬勒基(Cholesky)法解正規方程要化去較多計算機時間, 但這是很值得的。按乘法運算的實際計數,奇異值分解需2mn +4n ,而正規方程方法則需mn /2 +n /6。 例如,若解300個未知數的1000個方程,奇異值分解分析所需要的計算機時間約比正規方程方法長6倍。
但這裡需指出正規方程方法的兩大缺點。第一,正規方程矩陣的條件數是原始矩陣條件數的平方。這樣,在組成正規方程和求解它時,需要把浮點精度t提高一倍才能避免計算中的舍人誤差。第二,正規方程方法不能計算信息密度矩陣 。

