簡介
稀薄點是描述密度的另一個概念。
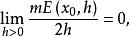
稀薄點設E是R中的勒貝格可測集,當E在點x處的密度等於0時,即則稱x為E的稀薄點。
密度
稀薄點
稀薄點設E是R中勒貝格可測集,對於任意一點x,記,如果極限存在,則稱它為E在點x處的密度。
勒貝格可測集
勒貝格可測集是實變函式論的重要概念之一,指勒貝格意義下可求“長度”、“面積”或“體積”的一類集合。
稀薄點若m*為R 上的(L)外測度,E⊂R 且滿足卡拉西奧多條件,即對任意點集T⊂R ,有則稱集E為勒貝格可測集,簡稱(L)可測集。
稀薄點是描述密度的另一個概念。設E是R中的勒貝格可測集,當E在點x0處的密度等於0時,則稱x0為E的稀薄點。
稀薄點是描述密度的另一個概念。
稀薄點設E是R中的勒貝格可測集,當E在點x處的密度等於0時,即則稱x為E的稀薄點。
稀薄點
稀薄點設E是R中勒貝格可測集,對於任意一點x,記,如果極限存在,則稱它為E在點x處的密度。
勒貝格可測集是實變函式論的重要概念之一,指勒貝格意義下可求“長度”、“面積”或“體積”的一類集合。
稀薄點若m*為R 上的(L)外測度,E⊂R 且滿足卡拉西奧多條件,即對任意點集T⊂R ,有則稱集E為勒貝格可測集,簡稱(L)可測集。
稀薄氣體動力學是空氣動力學的一個分支。氣體密度很低時,流體力學中的連續介質假設不再適用,氣體分子離散特性開始顯現,這種氣體稱為稀薄氣體,研究這種氣體流動...
研究歷程 內容 流動領域劃分 參考書目稀薄燃燒是一種內燃機的引擎工作方式。其空燃比可以達到65:1,這比化學計量法的比值(汽油為14.7:1)高得多,每次燃燒使用的燃料更少,使得發動機效率更...
基本介紹 稀薄燃燒技術 優缺點 存在的問題稀薄燃燒發動機就是混合氣中的汽油含量低,汽油與空氣之比可達1:25以上的發動機。
基本信息 特點 所需條件 相關實例 優缺點在40多年從事CFD計算與最近10多年從事國外18種著名太空飛行器、242個工況計算的基礎上,本著少而精、重實用的基本原則,本書系統介紹了稀薄氣體動力學的基...
基本介紹 圖書目錄縱向分層稀薄燃燒也稱為滾流分層稀薄燃燒,是進氣道噴射稀燃的一種方式,其渦流的流動方向與氣缸軸線垂直而得名,多用於進氣道對稱布置的多氣門發動機,尤其是在蓬...
簡介 形成過程 特點 發展及套用點紋十二卷(學名:(L.) Duval)是蘆薈科十二卷屬植物,為多年生常綠多肉植物,植株矮小,無明顯的地上莖,葉片緊密輪生在莖軸上,呈蓮座狀。順三角狀披...
形態特徵 產地生境 繁殖方法 栽培技術 主要價值點斑原海豚(學名:Stenella attenuata)。此種海豚的大小、體型與體色差異極多,目前已鑑別出兩種:一種生活在沿岸,另一種棲居在外海。沿岸型...
形態特徵 棲息環境 生活習性 繁殖方式 地理分布紫點杓蘭(學名:Cypripedium guttatum Sw.)是蘭科、杓蘭屬的國家一級保護植物。植株高15-25厘米,具細長而橫走的根狀莖。莖直立,...
形態特徵 產地生境 保護等級 近種區別 生長習性紫點紅門蘭(學名:Orchis cruenta Muell.):植株高11-30厘米。塊莖扁平,下部3-4裂呈掌狀,肉質。莖粗壯,直立,圓柱狀,中空。葉...
形態特徵 產地生境 生長習性 繁殖方式 栽培技術