簡介
【別名】 歐乃派克;碘苯六醇,碘酯六醇,歐乃派可,碘海索,三碘三醯胺六醇苯, 碘海醇
碘海醇【外文名】 Iohexol , Omnipaque
【適應症】 本品為非離子型造影劑,尤適用於有造影劑反應高危因素的病人。主要用於脊椎造影、亦可用於心血管造影,動、靜脈造影,尿路造影及增強CT掃描等。
【用量用法】 椎管內注射,劑量根據檢查專案及採用的技術決定。
【注意事項】 常見有頭痛、噁心、嘔吐和眩暈等。
【規格】 注射劑:30%10ml, 20ml, 50ml, 75ml, 100ml, 35%50ml, 75ml, 100ml, 200ml。
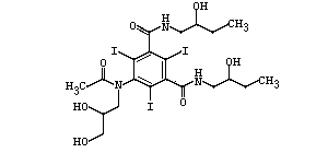
化學名稱
5-[乙醯基(2,3-二羥丙基)胺基]-N,N'-雙(2,3-二羥丙基)-2,4,6-三碘-1,3-苯二甲醯胺分子量
821理化性質
本品為白色或類白色粉末或結晶性粉末;無臭;有引濕性。本品在水或甲醇中極易溶解,在三氯甲烷或乙醚中幾乎不溶。本品為一種非離子型水溶性造影劑,碘含量為46.36%。藥理學
它是一種門診鞘內注射的安全造影劑。本品為單環非離子型水溶性造影劑。水溶液穩定(優於甲泛葡胺),毒性很小。以原形經腎排出,24小時排出100%。由於滲透壓低,毒性小,故可廣泛套用於蛛網膜下腔造影。國內報導鞘內注射造影1000例,無一例發生黏連性蛛網膜炎。一般不良反應也低於甲泛葡胺,僅為19.61%。適應症
心血管造影、冠狀動脈造影、尿路造影、CT增強掃描及脊髓造影等。用法和用量
由於劑型及規格不同,用法用量請仔細閱讀藥品說明書或遵醫囑。不良反應
①常見的反應為感覺異常,如熱感或暫時性的金屬味覺。胃腸反應(如噁心、嘔吐)和嚴重過敏反應也極少見。多為輕度的呼吸道或皮膚反應,如呼吸困難、皮疹、蕁麻疹、瘙癢和血管神經性水腫,它們可能在注射後立即出現,或在幾天后出現。嚴重反應如喉頭水腫、支氣管痙攣或肺水腫非常少見。②在動脈內注射造影劑所引起的不良反應,性質與注射部位和劑量有關。外周血管造影常會引起遠端的熱感和疼痛(發病率較多見)。③鞘內注射後的不良反應,可能在檢查後幾小時,甚至幾天后延遲出現。其發生率與單獨腰穿相似。頭痛、噁心、嘔吐、頭暈很常見,主要與穿刺點腦脊液滲漏所引起的蛛網膜壓力下降有關。禁忌症
對碘過敏者。碘造影劑可能激發過敏反應,要做好急救準備。注意事項
(1)慎用:①有過敏、哮喘或對碘有不良反應者,需特別注意。這些病人,可考慮使用預防用藥,如皮質激素、H1、H2組胺受體拮抗劑等。②孕婦。(2)幻用藥注意:①體外試驗中,非離子型造影劑對凝血系統的影響較離子性造影劑為輕。在施行血管造影術時,要十分小心在血管內的技術操作,不時地用肝素化的氯化鈉注射液灌洗導管,以減少與造作有關的血栓形成與栓塞。②使用造影劑,可能會導致短暫的腎功能不全,這可使服用二甲雙胍類的糖尿病患者,發生乳酸性酸中毒。作為預防,在使用造影劑前48小時,應停服雙胍類降糖藥,只有在腎功能穩定後,再恢復服用降糖藥。③所有碘造影劑均可影響甲狀腺功能的測定,甲狀腺碘結合能力下降,會持續幾周。血清或尿中高濃度的造影劑,會影響膽紅素、蛋白或無機物(如鐵、銅、鈣和磷)的實驗測定結果。在使用造影劑的當天,不應作這些檢查。④雖然沒有明確的配伍禁忌,碘海醇仍不應與其他藥物混合使用,應使用單獨的注射器。藥物相互作用
二周內套用白介素-2治療的病人,其延遲反應的危險性會增加(感冒樣症狀和皮膚反應)。製劑
注射液:20ml:6g(I)、50ml:15g(I)、100ml:30g(I)藥典介紹
【鑑別】(1)取本品約50mg,置坩堝中,小火加熱,即分解產生紫色的碘蒸氣。(2)取有關物質項下的供試品溶液作為供試品溶液;另取碘海醇對照品適量,加水溶解並稀釋製成每lml中約含1.5mg的溶液,作為對照品溶液。照有關物質項下的色譜條件,取供試品溶液與對照品溶液各10μl,分別注入液相色譜儀,記錄色譜圖,供試品溶液兩主峰(內、外異構體)的保留時間應分別與對照品溶液相應兩主峰的保留時間一致。(3)取本品,加水溶解並稀釋製成每lml中約含lOμg的溶液,照紫外-可見分光光度法(附錄ⅣA)測定,在244nm的波長處有最大吸收。(4)本品的紅外光吸收圖譜應與對照品的圖譜一致(附錄ⅣC)。【檢査】游離碘取本品2.lg,置50ml具塞離心管中,加水20ml,充分振搖使溶解。加甲苯5.0ml與lmol/L硫酸溶液5.0ml,振搖,離心15分鐘,甲苯層不得顯粉紅色。溶液的顏色取本品16.18g(按無水物計),加水溶解並稀釋至25ml,照紫外-可見分光光度法(附錄ⅣA)測定,在400nm、420nm與450nm波長處的吸光度分別不得過0.180、0.030和0.015。無機碘化物取本品5.0g,加水20ml使溶解,照電位滴定法(附錄ⅦA),用硝酸銀滴定液(0.OOlmol/L)滴定,以銀電極為指示電極,甘汞電極為參比電極指示終點。每lml硝酸銀滴定液(O.OOlmol/L)相當於126.9μg的I。硝酸銀滴定液(0.001mol/L)的用量不得過0.39ml(碘離子0.001%)。離子化合物取本品,加水溶解並稀釋製成每lml中含20mg的溶液,作為供試品溶液;另取氯化鈉,加水溶解並稀釋製成每lml中含2.0μg的溶液,作為對照品溶液。分別測定上述兩種溶液的電導率,供試品溶液的電導率不得大於對照品溶液的電導率(0.01%)。(實驗前須用水將所用儀器洗滌5次)游離芳香胺精密稱取本品0.2g,置50ml量瓶中,加水15ml使溶解,作為供試品溶液;另取5-氨基-N,N'-雙-(2,3-二羥丙基)-2,4,6-三碘-1,3-苯二甲醯胺(雜質I)對照品,精密稱定,加水溶解並定量稀釋製成每lml中含10μg的溶液,精密量取10ml,置50ml量瓶中,加水5ml,搖勻,作為對照品溶液;再取水15ml,置另一50ml量瓶中作空白溶液;將上述三個量瓶置冰浴中5分鐘,分別精密加入5mol/L鹽酸溶液3ml,搖勻,加2%亞硝酸鈉溶液2.0ml,搖勻,放置4分鐘,再加4%氨基磺酸溶液2.0ml,搖勻,放置1分鐘,自冰浴中取出,各加人臨用新制的鹽酸萘乙二胺溶液(取鹽酸萘乙二胺lg,加70%丙二醇溶液1000ml使溶解,即得)2.0ml,用水稀釋至刻度,搖勻,放置5分鐘,照紫外-可見分光光度法(附錄ⅣA),以空白溶液為參比,在495nm的波長處測定吸光度,供試品溶液的吸光度不得大於對照品溶液的吸光度(0.05%)。有關物質取本品,加水溶解並稀釋製成每lml中含1.5mg的溶液,作為供試品溶液;另取5-乙醯胺基-N,N'-雙-(2,3-二羥丙基)-2,4,6-三碘-1,3-苯二甲醯胺(雜質Ⅲ)與5-硝基-N,N'-雙-(2,3-二羥丙基)-1,3-苯二甲醯胺(雜質Ⅲ)對照品各適量,分別加水溶解並稀釋製成每lml中各含75μg的溶液,作為溶液(1)與溶液(2);再稱取碘海醇對照品37.5mg,置25ml量瓶中,加溶液(1)與溶液(2)各1.0ml,用水稀釋至刻度,搖勻,作為系統適用性試驗溶液。照高效液相色譜法(附錄ⅤD)試驗,用十八烷基矽垸鍵合矽膠為填充劑,以乙腈為流動相A,以水為流動相B,按下表進行梯度洗脫,調節流速使碘海醇外異構體峰的保留時間約為20分鐘,檢測波長為254nm。取系統適用性試驗溶液20μl,注入液相色譜儀,出峰順序依次為雜質Ⅱ峰、碘海醇內異構體峰、碘海醇外異構體峰、O-烷基化合物峰、雜質Ⅲ峰。雜質Ⅱ峰與雜質Ⅲ峰的分離度不得小於20.0。調節檢測靈敏度,使雜質Ⅱ峰的峰高約為滿量程的20%。量取供試品溶液20μl注入液相色譜儀,記錄色譜圖至梯度洗脫程式結束。供試品溶液色譜圖中,相對保留時間為碘海醇內異構體峰的0.84至碘海醇內異構體峰間的色譜峰不計,其他雜質按峰面積歸一化法計算,在相對碘海醇外異構體峰保留時間的1.1~1.4倍之間如有O-垸基化合物雜質峰群,各雜質峰面積的和不得大於總峰面積的0.6%,其他單個雜質峰面積不得大於總峰面積的0.1%,其他雜質峰面積的和不得大於總峰面積的0.3%。殘留溶劑3-氯-1,2-丙二醇取3-氯-1,2-丙二醇,精密稱定,加正己烷溶解並定量稀釋製成每lml中約含0.lmg的溶液,作為對照品溶液;另取本品適量,研細,精密稱取lg,置5ml具塞試管中,加正己烷1.0ml,超聲處理10分鐘,靜置,取上清液作為供試品溶液。照氣相色譜法(附錄ⅤE)試驗,以10%聚乙二醇20M為固定液,柱溫為165℃。精密量取供試品溶液與對照品溶液各μl,注入氣相色譜儀,記錄色譜圖。按外標法以峰面積計算,含3-氯-1,2-丙二醇不得過0.010%。甲醇、異丙醇、正丁醇與甲氧基乙醇取本品約2g,精密稱定,置20ml頂空瓶中,精密加水5ml,密封,振搖使溶解,作為供試品溶液;另取甲醇、異丙醇、正丁醇與甲氧基乙醇,精密稱定,加水溶解並定量稀釋製成每lml中約含甲醇、異丙醇、正丁醇和甲氧基乙醇各0.02mg的溶液。精密量取5ml,置20ml頂空瓶中,密封,作為對照品溶液。照殘留溶劑測定法(附錄ⅧP第二法)試驗,以聚乙二醇20M為固定液(或極性相近的固定液);起始溫度為40℃,維持5分鐘,先以每分鐘2℃的速率升溫至60℃,繼以每分鐘10℃的速率升溫至110℃,再以每分鐘50℃的速率升溫至200℃,維持3分鐘;進樣口溫度為200℃;檢測器溫度為300℃;頂空瓶平衡溫度為90℃,平衡時間為30分鐘。取對照品溶液頂空進樣,各成分峰之間的分離度均應符合要求。再取供試品溶液與對照品溶液分別頂空進樣,記錄色譜圖。按外標法以峰面積計箅,甲醇、異丙醇和甲氧基乙醇均不得過0.005%,正丁醇應符合規定。水分取本品,照水分測定法(附錄ⅧM第一法)測定,含水分不得過4.0%。熾灼殘渣取本品l.Og,依法檢査(附錄ⅧN),遺留殘渣不得過0.1%。鐵鹽取熾灼殘渣項下遺留的殘渣,加鹽酸lml,置水浴上蒸乾,再加稀鹽酸lml與水適量,置水浴上加熱,濾過,坩堝用水洗滌,合併濾液與洗液使成25ml,依法檢査(附錄ⅧG),與標準鐵溶液1.0ml用同一方法製成的對照液比較,不得更深(0.001%)。重金屬取本品l.Og,依法檢查(附錄ⅧH第一法),含重金屬不得過百萬分之二十。【含量測定】取本品約0.5g,精密稱定,加5%氫氧化鈉溶液25ml與鋅粉0.5g,加熱回流30分鐘,放冷,冷凝管用少量水洗滌,濾過,用水洗漆容器與濾器3次,每次15ml,合併洗液與濾液,加冰醋酸5ml,照電位滴定法(附錄ⅦA),用硝酸銀滴定液(0.lmol/L)滴定。每lml硝酸銀滴定液(0.lmol/L)相當於27.37mg的C19H26I3N3O9。【類別】造影劑。【貯藏】遮光,密封,在乾燥處保存。

