破壞包絡線簡介
破壞包絡線上的各點,代表材料在某正應力作用下的最大剪力強度。因為破壞包絡線是試驗結果的上限界線。因此,依據任何試驗結果的應力組合所繪出的點,都不可能在包絡線以外。
用數個均質土壤的試樣作三軸試驗,也可求得相似的結果。每次試驗用各種不同的值,因而影響到最大軸應力形成破壞。用莫爾圓繪出的試驗結果如下圖所示。
均質土壤的三軸試驗結果切在各莫爾圓公切線上的點,代表土壤試體的破壞面上的最大正應力與剪應力的組合。這些臨界的應力組合,與破壞包絡線的斜率或角度有關。若破壞包絡線為水平(平行於正應力軸),則莫爾圓上最大剪應力即屬作用在破壞面的剪應力。若破壞包絡線與水平軸成一角度,則破壞面上的剪應力小於莫爾圓的最大剪應力。對土壤而言,水平及傾斜破壞包絡線的情況都可能存在。
作土壤分析,通常只需使用莫爾圓的上半部,若欲了解破壞及不破壞的應力組合的界線(如下圖),最好同時知道整個莫爾圓。由下圖的莫爾圓所示的強度情況,可了解土壤的初期破壞同時發生在兩個不同的平面上。但若要知道作用在破壞面的剪應力與正應力的大小或主應力的組合,只須用到莫爾圓的一半 。
以破壞包絡線觀念說明破壞與穩定狀態的應力組合破壞包絡線的測定
三向擠壓法
下圖是試驗裝置的結構示意圖。
三軸壓縮試驗裝置
破壞包絡線
破壞包絡線
破壞包絡線
破壞包絡線
破壞包絡線
破壞包絡線
破壞包絡線將散狀物料裝入高約直徑的2.5倍用薄橡膠製成的圓筒內,立置於加壓室中,靠加壓室中水的壓力在徑向給薄橡膠圓筒加一定的壓力 。在這種狀態下,若在軸向上不斷增加壓力,這個壓力把 作為最小主應力,當達到相當於極限應力狀態的最大主應力 的值時,由散狀物料層內滑動而產生崩潰。因而,根據不同的 值求出相應的 值,就可以得出莫爾破壞圓群。所以按下圖所示延伸圓群的包絡線就能求出YL。按照最初的成型壓力 決定散狀物料層的空隙率。因而,根據 的變化可獲得各種空隙率的散狀物料層的YL群 。
莫爾破壞圓和YL單純壓縮法
破壞包絡線
破壞包絡線
破壞包絡線按三向擠壓試驗的同樣尺寸使附著散狀物料成型,直立放置並在軸向進行壓縮,測定其崩潰的壓力。這個壓力表示散狀物料層的強度,就叫做單純擠壓破壞強度。在這種狀態,因為最小主應力為0,所以莫爾破壞圓就變成通過原點及 軸上, 點的圓。因為單純擠壓法僅能求出 。,所以不能直接求出破壞包絡線。但是若能測出滑動面的角度,就能確定破壞圓上剪下面極限應力狀態的點,所以庫侖物料用這個點接起來就可以決定YL。又,如果根據二分割槽測出的抗拉強度T,就能決定c、n,下圖中P點即能夠表示崩潰面上的極限應力狀態。
單純壓縮試驗的莫爾圓和YL在這個點有:
破壞包絡線
破壞包絡線
破壞包絡線
破壞包絡線把它代入公式 得:
破壞包絡線
破壞包絡線
破壞包絡線
破壞包絡線
破壞包絡線
破壞包絡線
破壞包絡線
破壞包絡線
破壞包絡線
破壞包絡線下圖是以散狀物料層的各種孔隙率 測定重質碳酸鈣的 、 及 的結果。 因 的變化而有明顯的變化, 也由於 的增加的同時而減少。但是,內摩擦角 幾乎沒有變化。根據下圖,用上式計算n,如下表所示。
重碳酸鈣的試驗結果 破壞包絡線 | 0.45 | 0.46 | 0.47 | 0.48 | 0.50 | 0.52 | 0.54 |
破壞包絡線 | 26.8 | 22.0 | 18.3 | 12.6 | 10.4 | 7.1 | 5.1 |
破壞包絡線 | 0.94 | 0.86 | 0.80 | 0.74 | 0.64 | 0.54 | 0.47 |
破壞包絡線 | 2.84 | 2.80 | 2.76 | 2.646 | 2.616 | 2.506 | 2.397 |
直接剪下法
破壞包絡線
破壞包絡線
破壞包絡線這種方法通常是把散狀物料放到具有上下兩層的剪下槽里,給予垂直應力 ,隨後把一個槽橫向拉開,測定散狀物料層剪下應力 ,以求 的關係 。
內摩擦角與破壞包絡線
破壞包絡線
破壞包絡線
破壞包絡線
破壞包絡線
破壞包絡線
破壞包絡線
破壞包絡線
破壞包絡線在散狀物料層內加一垂直應力,假定在與垂直方向作用一剪下應力,當一定時,剪下應力增加到極限不再增加時,物料沿著的作用面產生滑動。這個面稱為滑動面(二向應力狀態的滑動線)。極限與有如庫侖定律似的線性關係,因此稱具有這種關係的散狀物料為庫侖物料。
破壞包絡線
破壞包絡線式中,——內摩擦係數;
破壞包絡線——附著力。
破壞包絡線
破壞包絡線但是,也有很多與間沒有線性關係的散狀物料,稱為非庫侖物料。一般庫侖物料用下式表示。
破壞包絡線但法利(Farley)等人認為多數散狀物料適用於下式:
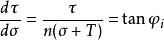
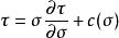
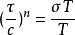
破壞包絡線式中,n——與流動性有關的指數,n=1時為庫侖物料,T——散狀物料層的純抗拉強度,可由上式中的關係求出。
破壞包絡線產生滑動時的關係,都是表示極限應力狀態的莫爾圓的包絡線,故稱為破壞包絡線(英文縮寫為YL),這是從塑性力學角度定義散狀物料流動性。
破壞包絡線
破壞包絡線
破壞包絡線
破壞包絡線
破壞包絡線的極限應力狀態叫做塑性平衡狀態。只有在產生滑動或者崩潰的初期,上述公式才成立。在滑動面附近的顆粒層產生膨脹,剪下槽內顆粒產生運動。通常在這種狀態下,散狀物料層是非各向同性體。傑尼(Jenike)把散狀物料層在保持各向同性同時產生的連續滑動狀態叫做“流動",此時的關係如下圖所示,通過原點經過各YL的終點,……與莫爾破壞圓群連線成一直線。這直線與軸的夾角稱為有效摩擦角。它是散狀物料流動性的重要參數 。
破壞包絡線YL與有效摩擦角
破壞包絡線
破壞包絡線
破壞包絡線 