簡介
壓電材料
煙晶石英因粒度、顏色、包裹體等的不同而有許多變種。無色透明的石英稱為水晶,紫色水晶俗稱紫晶,煙黃色、煙褐色至近黑色的俗稱茶晶、煙晶或墨晶,玫瑰紅色的俗稱芙蓉石;呈腎狀、鍾乳狀的隱晶質石英稱石髓,具不同顏色同心條帶構造的晶腺叫瑪瑙,瑪瑙晶腺內部有明顯可見的液態包裹體的俗稱瑪瑙水膽,細粒微晶組成的灰色至黑色隱晶質石英稱燧石,俗稱火石。石英的用途很廣。無裂隙、無缺陷的水晶單晶用作壓電材料,來製造石英諧振器和濾波器。一般石英可以作為玻璃原料,紫色、粉色的石英和瑪瑙還可作雕刻工藝美術的原料。
石英是最重要的造岩礦物之一,在火成岩、沉積岩、變質岩中均有廣泛分布。巴西是世界著名的水晶出產國,曾發現直徑2.5米、高5米、重達40餘噸的水晶晶體
物理特性
晶系:六方晶系
晶體:等軸狀、柱狀、六方雙錐面形
集合體型態:塊狀、粗粒狀、鍾乳狀、結核狀
硬度:摩氏硬度為7
解理/斷口:貝殼狀斷口
光澤:玻璃光澤
顏色:無、白,帶有點灰、黃到橙黃、紫、深紫、粉紅、灰褐、褐、黑
條痕:白色
比重:2.65 ~ 2.66
其他:(1)具脆性
(2)具有熱電性
(3)折射率 1.533 ~ 1.541,雙折射率差 0.009,色散 0.013
(4)石英具有強烈的壓電性(Piezoelectric property),即用力敲擊摩擦時會產生火花,這也就是燧石取火的方法。
(5)石英內常見的包裹體有:發晶(Hair crystal)-主要是金紅石;草入水晶-主要為電氣石;水膽水晶-石英中有液態包裹體;青石英-內含淺藍色金紅石針狀物;乳石英-由細水孔洞引起混濁狀;綠石英-由板狀或碎片狀的綠泥石組成,有時可能是綠色針狀的陽起石;砂金石(Aventurine)-石英岩內部含有綠色或紅褐色的雲母細片,又名耀石英,俗稱東陵石。常見煙黑色至暗褐色的煙水晶,主要是這些岩類含有較多量具有放射性之鈾、釷元素的關係。
材料套用
石英晶體是一種重要的電子材料。沿一定方向切割的石英晶片,當受到機械應力作用時將產生與應力成正比的電場或電荷,這種現象稱為正壓電效應。反之,當石英晶片受到電場作用時將產生與電場成正比的應變,這種現象稱為逆壓電效應。正、逆兩種效應合稱為壓電效應。石英晶體不僅具有壓電效應,而且還具有優良的機械特性、電學特性和溫度特性。用它設計製作的諧振器、振盪器和濾波器等,在穩頻和選頻方面都有突出的優點。
技術指標
常規指標
·標稱頻率:晶體元件規範所指定的頻率。
·調整頻差:基準溫度時,工作頻率相對於標稱頻率的最大允許偏離。常用ppm(1/10)表示。
·溫度頻差:在整個溫度範圍內工作頻率相對於基準溫度時工作頻率的允許偏離。常用ppm(1/10)表示。
·諧振電阻(Rr):晶體元件在串聯諧振頻率Fr時的電阻值。
·負載電容(CL): 與晶體元件一起決定負載諧振頻率FL的有效外界電容
·靜態電容(C0)
等效電路靜態臂里的電容。它的大小主要取決於電極面積、晶片厚度和晶片加工工藝。它的常用計算公式為:
C0=KC0×Ae×F0+C常數
石英晶體KC0——電容常數,其取值與裝架形式、晶片形狀有關;
Ae——電極面積,單位mm;
F0——標稱頻率,單位KHz;
C常數——常數,單位pF;
·動態電容(C1)
等效電路中動態臂里的電容。它的大小主要取決於電極面積,另外還和晶片平行度、微調量的大小有關。它的常用公式為:
C1=KC1×Ae×F0+C常數
KC1——電容常數;
Ae——電極面積,單位mm;
F0——標稱頻率,單位KHz;
C常數——常數,單位pF;
·動態電感(L1)
等效電路中動態臂里的電感。動態電感與動態電容是一對相關量,它的常用公式為:
L1=1/(2πF0)2C1 (mH)
·串聯諧振頻率(Fr)
晶體元件電氣阻抗為電阻性的兩個頻率中較低的一個。
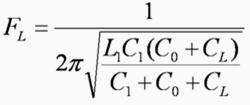
石英晶體·負載諧振頻率(FL)
晶體元件與一負載電容串聯或並聯,其組合阻抗為電阻性的兩個頻率中的一個頻率。
石英晶體·品質因數(Q)
品質因數又稱機械Q值,它是反映諧振器性能好壞的重要參數,它與L1和C1有如下關係
Q=wL1/Rr=1/wRrC1
如上式,R1越大,Q值越低,功率耗散越大,而且還會導致頻率不穩定。反之Q值越高,頻率越穩定。
·相對負載頻率偏置(DL)
晶體負載諧振頻率相對於串聯諧振頻率的變化量DL=(FL-Fr)/Fr,可由下式近似計算:
DL≈C1/2(C0+CL)
·相對頻率牽引範圍(DL1,L2)
晶體在兩個固定負載間的頻率變化量。
D(L1,L2)=│(FL1-FL2)/Fr│=│C1(CL2-CL1)/2(C0+CL1)(C0+CL2)│
·牽引靈敏度(TS)
晶體頻率在一固定負載下的變化率 。
TS≈-C1 *1000/2*(C0+CL)2
·激勵電平相關性(DLD)
由於壓電效應,激勵電平強迫諧振子產生機械振盪,在這個過程中,加速度功轉化為動能和彈性能,功耗轉化為熱。後者的轉換是由於石英諧振子的內部和外部的摩擦所造成的。
摩擦損耗與振動質點的速度有關,當震盪不再是線性的,或當石英振子內部或其表面及安裝點的拉伸或應變、位移或加速度達到臨界時,摩擦損耗將增加。因而引起頻率和電阻的變化。
加工過程中造成DLD不良的主要原因
——諧振子表面存在微粒污染。主要產生原因為生產環境不潔淨或非法接觸晶片表面;
——諧振子的機械損傷。主要產生原因為研磨過程中產生的劃痕。
——電極中存在微粒或銀球。主要產生原因為真空室不潔淨和鍍膜速率不合適。
——裝架是電極接觸不良;
——支架、電極和石英片之間存在機械應力。
寄生回響
所有晶體元件除了主回響(需要的頻率)之外,還有其它的頻率回響。減弱寄生回響的辦法是改變晶片的幾何尺寸、電極,以及晶片加工工藝,但是同時會改變晶體的動、靜態參數。
·寄生回響的測量
⑴SPDB 用DB表示Fr的幅度與最大寄生幅度的差值;
⑵SPUR在最大寄生處的電阻;
⑶SPFR 最小電阻寄生與諧振頻率的距離,用Hz或ppm表示。

