簡介
概述
真實伴隨運算元是在C([-r,0],R )中為確定常數變易公式而導出的相關運算元。
具體內容
真實伴隨運算元設齊次與非齊次線性泛函微分方程的解整體存在,用內積定義空間C([-r,0],R )的共軛空間B, 對非齊次方程的解x(t,σ,φ,f),不用常數變易公式而直接寫成x(σ,φ,f)=T(t,σ)φ+K(t,σ)f,其中T(t,σ):C→C,K(t,σ):L([σ,t],R )→C(t≥σ)都是連續線性運算元,T(σ,σ)=I,K(σ,σ)=0。
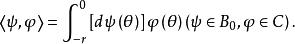
真實伴隨運算元T,K的真實伴隨運算元T*,K*分別定義為:
真實伴隨運算元運算元
運算元是一個函式空間到函式空間上的映射O:X→X。廣義上的運算元可以推廣到任何空間,如內積空間等。
廣義的講,對任何函式進行某一項操作都可以認為是一個運算元,甚至包括求冪次,開方都可以認為是一個運算元,只是有的運算元我們用了一個符號來代替他所要進行的運算罷了,所以大家看到運算元就不要糾結,他和f(x)的f沒區別,它甚至和加減乘除的基本運算符號都沒有區別,只是他可以對單對象操作。
