介紹
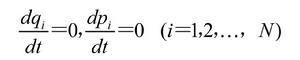
用廣義坐標和廣義動量聯合表示的多維空間。N個自由度的完整系統有N個廣義坐標q,q,…q和N個廣義動量p,p,…p;用2N個變數(q,q,…,q;p,p,…,p)聯合表示的空間稱為該系統的相空間。一個力學系統在給定時刻的狀態由相空間中的一點來表示,此點稱為代表點。力學系統的運動可由代表點在相空間中隨時間t描出的一根曲線來表示,此曲線稱為相軌跡。初值條件取決於它在相空間中的起始點。對一個力學系統,一個始點只有一條相軌跡。完整系統的相軌跡的微分方程,就是正則方程,並可寫成下列微分方程組:
相空間[力學]對於正則方程的任何第一次積分,例如動量矩積分或能量積分,都表示2N維空間中的一個2N-1維超曲面。相軌跡是位於這些超曲面的相交空間中的一支曲線。
對於一個自由度的力學系統,q1和p1正好可用平面直角坐標繫上的一點表示。這種圖示法對於研究單自由度非線性振動和穩定性可起到形象化的作用,並對研究奇點的形式和分類起指導作用。力學中的奇點就是力學系統在相空間中的平衡點,即適合
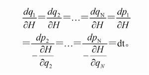
相空間[力學]的點。如果力學系統是個保守系統,它的哈密頓函式為H(q,p),則套用正則方程,上兩式可改寫為:
相空間[力學]奇點的類型決定於它附近的相軌跡形狀。對於一個自由度系統,相軌跡是平面曲線,奇點大致分為四種類型:焦點、結點、中心和鞍點(圖1)。
相空間[力學]例子
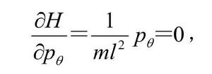
例如,單擺以θ作為廣義坐標(圖2),其廣義動量為:
相空間[力學]則哈密頓函式H可寫為:
相空間[力學]
相空間[力學]式中E是哈密頓函式的值。對於不同的E值,可作不同軌跡(圖3)。
為求本例的奇點,可將式(2)的H代入式(1),得:
相空間[力學]和
相空間[力學]
相空間[力學]即sinθ=0和p=0。當θ=±2nπ,p=0時,奇點為渦點(或中心),如原點和B點;當θ=±(2n+1)π,p=0時,奇點為鞍點,如A,C等點 。
