基本介紹
直接反駁是一種反駁方式,指用事實或真實命題直接確定對方論題或論據的虛假性,是反駁虛假論題或論據的一種常用方法。具體方法有:(1)提出與被反駁論題或論據相矛盾的事實,來確定被反駁論題或論據的虛假性,即事實反駁;(2)用歸謬法,即由被反駁論題或論據引出荒謬的斷定,然後,運用充分條件假言推理的否定後件式,由否定後件到否定前件,從而確定被反駁論題或論據的虛假性 。
事實反駁
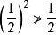
事實反駁,即直接列舉與對方論題或論據相矛盾的事實來論證對方的論題或論據是虛假的。例如,對“任何數的平方大於這個數的本身”,可用
直接反駁的事實來反駁 。
比如,對“長翅膀的動物都會飛”這一觀點,可以用“雞鴨長翅膀,但雞鴨並不能在高空中飛翔”來反駁。
歸謬反駁
歸謬反駁即把被反駁命題作為真命題,而推出荒謬的結論,然後由此否定被反駁命題.具體步驟為:
1) 從被反駁命題p(假設p真)出發,推演出謬誤的命題q.
2) 由於q謬誤,那么應該否定q.
3) 依充分條件假言推理否定後件到否定前件的有效式,推演出q之p也應當否定,其形式是
直接反駁例如,魯迅用歸謬反駁“作文有秘訣”:
直接反駁史達林在反駁馬爾關於“語言是生產工具”的論點時,生動地運用了“歸謬法”,他寫道:“不難了解:假如語言能生產物質財富的話,那末誇誇其談的人就會成為世界上最富有的人了。”這個有力的反駁沿著對方論題的謬性趨向引出一個更為荒誕的結論:誇誇其談的人成為世界上最富有的人。從而反證,語言不可能是生產財富的工具。這種直接反駁同時對論題和論據進行了有效的反駁,使反駁的推理過程具有深刻的說服力。
應該指出,歸謬法用在論證中是間接論證方法,而用在反駁中則是直接反駁 。

