定義
發電機銅損包括基本銅損耗和附加銅損耗兩部分。基本銅損耗是電流流過定子繞組和轉子繞組在導線電阻上產生的損耗;附加銅損耗為交流電在定子繞組上因趨膚效應和鄰近效應作用引起的額外損耗以及定子繞組各股線之間的循環電流引起的雜散銅損耗。
發電機的損耗
發電機的損耗大致可分為五大類,即定子銅損,鐵損,勵磁損耗,電氣附加損耗,機械損耗。發電機運行中,所有的損耗幾乎都以發熱的形式表現出來。
(1)定子銅損即定子電流流過定子繞組所產生的所有損耗。
(2)鐵損即發電機磁通在鐵芯內產生的損耗,主要是主磁通在定子鐵芯內產生的磁滯損耗和渦流損耗,還包括附加損耗。
(3)勵磁損耗即轉子迴路所產生的損耗,主要是勵磁電流在勵磁迴路中產生的銅損。
(4)電氣附加損耗則比較複雜,主要有端部漏磁通在其附近鐵質構件中產生的損耗,各種諧波磁通產生的損耗,齒諧波和高次諧波在轉子表層產生的鐵損等。
(5)機械損耗主要包括通風損耗,軸承摩擦損耗等。
研究現狀
對於額定工況下汽輪發電機定子繞組損耗的研究,其難點主要集中在附加銅耗的計算方面。傳統的解析計算方法在工程實際當中存在一定的局限性,尤其是對於大型汽輪發電機定子繞組採用的空實心混合排列且上下層不等截面的結構,無法考慮空實心股線排列方式、不等截面等因素的影響,且無法對單根股線的損耗進行計算。因此,有必要採用數值計算的方法對定子繞組損耗,尤其是附加銅耗進行準確計算。國內的湯蘊謬、梁艷萍學者對矩形槽內股線受集膚效應影響下電阻增大係數的數值計算做了詳細的分析,謝德馨學者對電機內渦流場的計算方面提供了許多理論支持,為大型汽輪發電機定子繞組附加銅耗的數值計算奠定了基礎。有學者提出了受集膚效應影響的導體電流密度數值計算方法,提高了電流密度計算的精度和便捷性;還有學者採用有限元分析的方法對定子繞組上下層繞組電阻增大係數進行了數值計算,驗證了數值計算具有一定的優越性。
從國內外學者對於定子繞組附加損耗的研究以及大型汽輪發電機定子繞組的特殊結構來看,基於有限元分析的數值計算在附加損耗計算方面具有一定的優越性,但是其結構使得附加損耗的影響因素較多,仍需在充分考慮各種影響因素的基礎上,對這種空實心混合排列且上下層不等截面的定子繞組損耗進行分析。
銅耗計算方法
作為發電機能量轉換、輸出電能的關鍵部件,定子繞組是發電機定子側發熱損耗最嚴重的地方。單機容量增加使得汽輪發電機定子繞組電流很大,槽內漏磁通嚴重,引起定子繞組附加損耗增大,造成繞組溫度過高,制約單機容量的增加。為增強冷卻效果,大型汽輪發電機每個定子槽內通常為兩個導體,由空心和實心繞組混合排列組成。對於這種特殊的繞組結構,傳統解析計算具有一定的局限性,無法計及股線不規則排列方式、股線高度等因素對附加損耗的影響。因此,採用基於有限元分析的方法對定子繞組銅耗進行數值計算是十分必要的。
汽輪發電機定子繞組銅耗包括基本銅耗和附加銅耗,其中附加銅耗是電機領域學者的研究重點,主要通過定子繞組電阻增大係數計算。
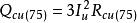
汽輪發電機定子繞組基本銅耗是定子繞組的直流電阻損耗,計算公式如下:
發電機銅損
發電機銅損
發電機銅損式中:為定子電流,A;75攝氏度時定子繞組每相電阻。
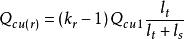
定子繞組附加銅耗計算公式為:
發電機銅損
發電機銅損
發電機銅損
發電機銅損
發電機銅損式中:定子繞組附加銅耗;為定子槽部長度;定子端部長度;定子繞組電阻損耗增大係數。
單根股線的損耗分布
定子上下層繞組空實心股線銅耗的分布特點,主要結論如下:
1、與下層繞組相比,上層繞組受槽漏磁影響較大,而且越靠近槽口位置,集膚效應越明顯,股線電阻增大係數越大,附加損耗越大;
2、受股線截面積影響,在相同磁場分布情況下,空心股線電阻增大係數較大;
3、上下層繞組損耗相比,上層繞組總損耗比下層繞組總損耗大15%,上層繞組附加損耗較大,是下層繞組附加損耗的7.03倍;
4、同相槽與異相槽相比,下層繞組損耗分布相同,上層繞組異相槽較小,這是由於電流相位的影響造成的。

