發射和吸收係數
對原子發射譜線,發射係數為
發射係數
發射係數
發射係數
發射係數
發射係數
發射係數其中是處於發射狀態的原子的數密度,而是自發輻射的愛因斯坦係數,這個係數對於任意兩個特定的能級是定值。根據基爾霍夫熱輻射定律,空間一定區域內的吸收特性是與它的發射特性密切相連的,因此我們也要同時考慮吸收譜線的吸收係數。吸收係數具有“1/長度”的量綱,從而給出的是頻率為一定的光在行走了距離後被吸收的光強占總光強的比例。吸收係數的表達式為
發射係數
發射係數
發射係數類似發射係數,是處於吸收狀態的原子的數密度,分別是愛因斯坦係數中的自發吸收和受激輻射的係數,它們對於任意兩個特定的能級也是定值。
當系統處於局部的熱平衡狀態時,處於基態和激發態的原子各自的數密度滿足麥克斯韋-玻爾茲曼分布;但對於非熱平衡狀態的情形(例如雷射),原子的數密度分布計算會相當複雜。
上面列出的公式都假設了譜線對應的頻率是單一的,即譜線是無形狀的幾何線,忽略了實際中不確定性原理及都卜勒效應等因素造成的譜線展寬,實際的譜線是覆蓋一段頻率頻寬的,具有一定的譜線形狀。精確計算時要求這些公式乘以歸一化的譜線形狀,從而得到帶有“1/頻率”的量綱。
愛因斯坦係數
1916年,阿爾伯特·愛因斯坦指出在原子譜線的形成中存在三種基本過程,它們分別被稱作自發輻射、受激輻射和(受激)吸收。每一種過程都對應著一個所謂愛因斯坦係數,表征著該過程所發生的幾率。
發射係數
發射係數
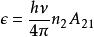
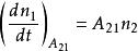
發射係數自發輻射即是電子在不受外界影響下自發地從高能級向低能級躍遷的過程。描述這一過程的是愛因斯坦係數它具有秒的量綱,表征的是在單位時間內電子從高能級向低能級自發躍遷並釋放出能量為的光子的幾率。由於能量-時間之間的不確定性關係,這一過程產生的光子實際占據了一段很窄的頻率範圍,即具有一定的線寬。如果假設處在兩個能級的原子數密度分別為和,則自發輻射導致的低能級原子數密度變化率為
發射係數
發射係數
發射係數
發射係數
發射係數受激輻射是指當原子接受到外界的電磁輻射,而外界電磁輻射的頻率恰好等於(或接近)電子在某兩個能級躍遷時釋放光子的頻率時,符合這樣條件的電子受到激發從高能級向低能級躍遷的過程。描述這一過程的是愛因斯坦係數它具有球面度·米·赫茲·瓦特·秒(相當於球面度·米·焦耳·秒)的量綱,表征的是在單位時間內輻射場的單位輻射亮度下電子從高能級向低能級受激躍遷並釋放出能量為的光子的幾率。如果假設處在兩個能級的原子數密度分別為和,則受激輻射導致的低能級原子數密度變化率為
發射係數
發射係數
發射係數其中是輻射場的輻射密度,它是受激頻率的函式(參見普朗克定律)。
受激輻射是雷射技術誕生的理論基礎。

