異構資料庫系統
異構資料庫系統是相關的多個資料庫系統的集合,可以實現數據的共享和透明訪問,每個資料庫系統在加入異構資料庫系統之前本身就已經存在,擁有自己的DBMS。異構資料庫的各個組成部分具有自身的自治性,實現數據共享的同時,每個資料庫系統仍保有自己的套用特性、完整性控制和安全性控制。異構資料庫系統的異構性主要體現在以下幾個方面:
1、計算機體系結構的異構
各個參與的資料庫可以分別運行在大型機、小型機、工作站、PC或嵌入式系統中。
2、基礎作業系統的異構
各個資料庫系統的基礎作業系統可以是Unix、Windows NT、 Linux等。
3、DBMS本身的異構
可以是同為關係型資料庫系統的Oracle、 SQL Server等,也可以是不同數據模型的資料庫,如關係、模式、層次、網路、面向對象,函式型資料庫共同組成一個異構資料庫系統。
----異構資料庫系統的目標在於實現不同資料庫之間的數據信息資源、硬體設備資源和人力資源的合併和共享。其中關鍵的一點就是以局部資料庫模式為基礎,建立全局的數據模式或全局外視圖。這種全局模式對於建立高級的決策支持系統尤為重要。
----大型機構在許多地點都有分支機構,每個子機構的資料庫中都有著自己的信息數據,而決策制訂人員一般只關心巨觀的、為全局模式所描述的信息。建立在數據倉庫技術基礎上的異構資料庫全局模式的描述是一種好的解決方案。數據倉庫可以從異構資料庫系統中的多個資料庫中收集信息,並建立統一的全局模式,同時收集的數據還支持對歷史數據的訪問,用戶通過數據倉庫提供的統一的數據接口進行決策支持的查詢。
動態系統
定義
按確定性規律隨時間演化的系統,又稱動力學系統。動態系統理論來源於經典力學。美國數學家G.D.伯克霍夫發展了法國數學家H.龐加萊在天體力學和微分方程定性理論方面的研究,奠定了動力學系統理論的基礎。
特點
其特點是:
①系統的狀態變數是時間函式,即其狀態變數隨時間而變化。
②系統狀況由其狀態變數隨時間變化的信息來來描述。
③狀態變數的持續性。
套用
現代控制理論的發展促進了對動態系統的研究,使它的套用從經典力學擴大到一般意義下的系統。
演化規律用微分方程描述的動態系統稱為微分動力系統。例如:
凧 = F( x,t)
式中x為狀態變數矢量,t為時間,F為確定性矢量函式。對微分動力系統的研究從理論上揭示了系統的許多基本性質。如對系統吸引子的研究說明了系統終態,即定常狀態的種類(見[2]非平衡態)。又如對系統穩定性條件的研究和相空間拓撲結構對參量依賴關係的研究都對系統的設計具有重要指導意義。
不用微分方程描述的動態系統模型中最簡單的是映射,一般用差分方程或疊代方程表示:
x( t+1)= F【 x( t)】 t=0,1,2,…
式中 x為狀態變數矢量, F為確定性矢量函式, t為離散時間變數。關於用映射描述的動態系統的理論比較困難,其進展遠不如微分動力系統。對於一維映射系統,系統的終態既可能是平衡態,也可能是非平衡態。對於二維和二維以上的映射,現代研究大多採用數值方法,在理論上存在很大困難,還很少有能廣泛套用於工程實踐的一般性理論成果。
資料庫轉換
----對於異構資料庫系統,實現數據共享應當達到兩點:一是實現資料庫轉換;二是實現數據的透明訪問。由華中科技大學開發的,擁有自主著作權的商品化資料庫管理系統DM3系統,通過所提供的資料庫轉換工具和API接口實現了這兩點。
----DM3提供了資料庫轉換工具,可以將一種資料庫系統中定義的模型轉化為另一種資料庫中的模型,然後根據需要再裝入數據,這時用戶就可以利用自己熟悉的資料庫系統和熟悉的查詢語言,實現數據共享的目標。資料庫轉換工具首先進行類型轉換,訪問源資料庫系統,將源資料庫的數據定義模型轉換為目標資料庫的數據定義模型,然後進行數據重組,即將源資料庫系統中的數據裝入到目的資料庫中。
----在轉換的過程中,有時要想實現嚴格的等價轉換是比較困難的。首先要確定兩種模型中所存在的各種語法和語義上的衝突,這些衝突可能包括:
命名衝突:即源模型中的標識符可能是目的模型中的保留字,這時就需要重新命名。
格式衝突:同一種數據類型可能有不同的表示方法和語義差異,這時需要定義兩種模型之間的變換函式。
結構衝突:如果兩種資料庫系統之間的數據定義模型不同,如分別為關係模型和層次模型,那么需要重新定義實體屬性和聯繫,以防止屬性或聯繫信息的丟失。
----總之,在進行數據轉換後,一方面源資料庫模式中所有需要共享的信息都轉換到目的資料庫中,另一方面這種轉換又不能包含冗餘的關聯信息。
----資料庫轉換工具可以實現不同資料庫系統之間的數據模型轉換,需要進一步研究的問題是:如果資料庫轉換同時進行數據定義模式轉換和數據轉換,就可能引起同一數據集合在異構資料庫系統中存在多個副本,因此需要引入新的訪問控制機制。在保證各個參與資料庫自治,維護其完整性、安全性的基礎上,對於異構資料庫系統提供全局的訪問控制、並發機制和安全控制。
----如果資料庫轉換隻進行數據定義轉換,不產生數據的副本,那么在新的目的資料庫定義模型的框架下訪問數據,實現上仍是對源資料庫系統中數據的訪問。這時利用新的資料庫系統中的數據處理語言實現的事務,不能直接訪問源資料庫,必須進行事務級的翻譯才可以執行。
數據的透明訪問
----在異構數據系統中實現了數據的透明訪問,用戶就可以將異構分散式資料庫系統看成普通的分散式資料庫系統,用自己熟悉的數據處理語言去訪問資料庫,如同訪問一個資料庫系統一樣。但目前還沒有一種廣泛使用的數據定義模型和數據查詢語言,實現數據的透明訪問可以採用多對一轉換、雙向的中間件等技術。開放式資料庫互連(Open DataBaseconnectivity,簡稱ODBC)是一種用來在相關或不相關的資料庫管理系統中存取數據的標準應用程式接口(API)。ODBC為應用程式提供了一套高層調用接口規範和基於動態程式庫的運行支持環境。目前,常用的資料庫套用開發的前端工具如Power Builder、 Delphi等都通過開放資料庫互聯(ODBC)接口來連線各種資料庫系統。而多數資料庫管理系統(如:Oracle、Sybase、SQL Server等)都提供了相應的ODBC驅動程式,使資料庫系統具有很好的開放性。ODBC接口的最大優點是其互操作能力,理想情況下,每個驅動程式和數據源應支持完全相同的ODBC函式調用和SQL語句,使得ODBC應用程式可以操作所有的資料庫系統。然而,實際上不同的資料庫對SQL語法的支持程度各不相同,因此,ODBC規範定義了驅動程式的一致性級別,ODBC API的一致性確定了應用程式所能調用的ODBC函式種類,ODBC 2.0規定了三個級別的函式,目前 DM3 ODBC API支持 ODBC 2.0規範中第二級擴展的所有函式。
----隨著Internet套用的不斷普及,Internet的異構分散式信息系統正在迅速發展,Java以其平台無關性、移植性強,安全性高、穩定性好、分散式、面向對象等優點而成為Internet套用開發的首選語言。在Internet環境下,實現基於異種系統平台的資料庫套用,必須提供一個獨立於特定資料庫管理系統的統一編程界面和一個基於 SQL的通用的資料庫訪問方法。Java與資料庫接口規範JDBC(Java Database Connectivity)是支持基本SQL功能的一個通用的應用程式編程接口,它在不同的資料庫功能模組的層次上提供了一個統一的用戶界面,為對異構資料庫進行直接的Web訪問提供了新的解決方案。 JDBC已被越來越多的資料庫廠商、連線廠商、Internet服務廠商及應用程式編制者所支持。
基於異步動態系統的網路控制系統故障檢測
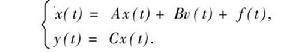
網路控制系統的被控對象模型為
異步動態系統其中:x(t)為狀態向量,v(t)為輸入向量,y(t}為輸出向量。
感測器故障一般可轉化為執行器故障的形式.為了研究方便本文統一採用故障向量v(t)來表示。
異步動態系統研究目的是:在一定的數據包丟失率下,對系統設計故障觀測器,並比較觀測器和原系統狀態,得到觀測器狀態估計誤差。在確保誤差系統穩定性的基礎上利用故障檢測殘差對系統故障進行檢測。整個系統結構如圖1所示。
對系統作如下假設:
感測器、控制器為時間驅動,執行器為事件驅動,採樣周期為h;
控制時延τ∈[ 0,h ],輸出時延τ相對於h可忽略不計。
採用單包傳輸。
感測器與控制器之間存在數據包丟失。
1.感測器、控制器為時間驅動,執行器為事件驅動,採樣周期為h;
2.控制時延τ∈[ 0,h ],輸出時延τ相對於h可忽略不計。
3.採用單包傳輸。
4.感測器與控制器之間存在數據包丟失。
網路介入後,按照採樣周期對被控對象進行離散化,可得
異步動態系統其中
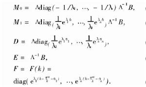
異步動態系統由矩陣理論可知,如果矩陣A含有n個互異特徵根,則可化成對角陣,得到
異步動態系統其中:λ1,λ2,...,λn為A的特徵值,為對應的特徵向量組成的矩陣。
設λ1,λ2,...,λn均不為0,則有:
異步動態系統其中:
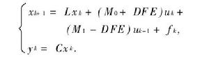
異步動態系統系統可化為:
異步動態系統基於異步動態系統的時延及丟包檢測方法
概述
網路控制系統(Network Control System, NCS)是控制技術和網路通信技術的融合,研究內容非常廣泛。網路誘導時延和數據包丟失問題是NCS中最主要的問題。國內外很多學者針對NCS的建模與控制器設計問題進行了深入的研究,但是對於同時存在網路誘導時延和數據包丟失情沉下的NCS研究較少。然而,在實際的NCS中,網路誘導時延和數據包丟失在大多數情沉下是並存的。國內外在NCS方面的研究已有較多的研究成果。
模型描述
考慮如圖1所示的NCS結構,假設系統存在控制時延τ (控制器到執行器的網路延時)以及在感測器和控制器之間存在數據包丟失,將網路連線等效為開關S,當網路通信正常時,開關S閉合;當丟包發生過程中,開關S斷開。
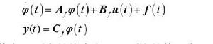
異步動態系統被控對象可由下列狀態方程描述:
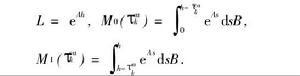
異步動態系統研究方法
本文基於上述模型並假設:
•每個採樣時刻的數據包丟失率ξ (0<ξ><1)是固定的;
•網路最大的連續丟包個數為m。
本文採用設計故障觀測器的方法來進行研究,通過設計故障觀測器來檢測故障的發生,故障檢測系統的結構如圖2所示。
異步動態系統由圖2可知,當系統在沒有故障發生時,設計故障觀測器0,以此類推,當系統最多存在連續一步丟包時設計故障觀測器1,……,當系統最多存在連續m步丟包時設計故障觀測器m,在不同的事件發生時設計不同的觀測器得到重構狀態.xˇ,與原系統狀態x比較得到觀測器的狀態估計誤差,如果誤差趨於0,說明系統正常運行,如果誤差發生突變,說明系統發生了故障。
因此,系統可等價為具有傳輸成功和最多連續m步丟包的m+1個獨立事件的異步動態系統,且每個事件具有固定的事件發生率,即ξ i(i =0,1,...,m)是固定的,稱為具有事件發生率約束的異步動態系統。
假定原系統在沒有故障發生的情沉下,系統採用的輸出反饋控制律能使系統穩定,下面設計故障觀測器對網路化控制系統進行故障檢測。
