原理:
此法假定待求函式f(x)為n個已知函式 Wi(x)的線性組合:
瑞利-里茲法[瑞利-里茲法]
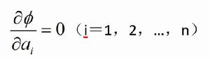
瑞利-里茲法[瑞利-里茲法]式中αi為未知常係數。通過由f(x)組成的泛函嗘 [f(x)]取駐值的條件(駐值條件對應於已知的物理定律或定理)得到n個方程,
瑞利-里茲法[瑞利-里茲法]由此解出n個未知常係數αi,從而得到f(x)。這一理論還可推廣到多維問題。
瑞利-里茲法[瑞利-里茲法]在求解彈性體位移時,先假定彈性體內沿x、y、z方向的位移u、v、w分別由一系列已知的滿足彈性體全部位移邊界條件的連續函式u(x,y,z)、v(x,y,z)、w(x,y,z)(i=1,2,…,n)疊加而成,即
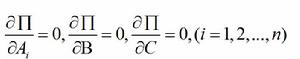
瑞利-里茲法[瑞利-里茲法]式中A、B、C為待求係數,共3n個。將u、v、w代入作為泛函的總勢能Π的表達式,根據彈性學最小勢能原理,總勢能變分為零,即有駐值條件:
這是關於3n個待求係數A、B、C的3n個代數方程。解出3n個未知係數便得到全部位移。通過對位移進行微商並利用應力-應變關係就得到應力。由於瑞利-里茲法假設的位移函式u、v、w可以不滿足力的邊界條件,所以位移函式的構成比較容易,計算也比較方便,但有時求出的應力誤差較大。
在振動問題中,如果將物體的可能位移表達為若干給定的位移的線性組合,而以瑞利商(見瑞利原理)作為位移的泛函,則利用瑞利商取駐值時條件,就可求出物體振動的固有頻率的近似值。
套用:
在機械工程領域,它被用於計算多自由度系統(如彈簧-質量系統、變截面軸上的飛輪)大致的共振頻率;還可以計算圓柱體的折斷載荷。瑞利-里茲法是瑞利法的擴展。
以下的討論舉一個最簡單的例子(2個集中彈簧和2個集中質量,並只考慮2個模態振型)。因此M = [m1,m2] 且K = [k1,k2].
為該系統假設一個由兩項組成的模態振型,其中一個用因數B加權。例如Y = [1, 1] +B[1, –1]。
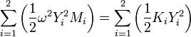
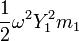
簡諧運動理論認為撓度等於0時的速率為角頻率ω乘以最大撓度(y)。本例中,每個質量的動能(KE)等於
瑞利-里茲法[瑞利-里茲法]等等,而每個彈簧的勢能(PE)等於1/2k1Y1^2等等。對於連續系統,該表達式要麻煩得多。
因為引入了無阻尼假設,因此整個系統當y=0時的KE等於v=0時的PE。由於不存在阻尼,系統各點同時達到v=0的狀態。
因此,由KE = PE得:
瑞利-里茲法[瑞利-里茲法]注意模態振型的實際振幅總會從兩邊消去。也就是說,假設撓度的真正數值並不重要。我們在意的是振型。
由於ω與B有關,為了找到最小的ω,我們令dω / dB = 0。此時的B的取值可以使得ω最小。由於振型是假設的,通過該方法得到的ω是需要預測的基頻的上界。我們需要得到的是這個上界的最小值。
該方法有很多技巧,最重要的是試圖找到儘量真實的假設振型。例如在梁的撓曲問題中,使用一個儘量接近真實解得變形模態是明智的。對於大部分簡單的梁連線問題,即使振型的階次很低,一個四次的函式就足夠了。彈簧和質量並不必離散,它們可以使連續的或者是雜糅的。只要能夠描述分散式的KE和PE,或把連續的單元離散,該方法可以很容易編程來找到複雜分散式系統的自然頻率。
該方法可以反覆疊代使用,把附加的模態振型疊加到先前的最佳解上。也可以建立一個用許多參數B和振型組合的長表達式,最後對它們求偏導。
在振動問題中,如果將物體的可能位移表達為若干給定的位移的線性組合,而以瑞利商(見瑞利原理)作為位移的泛函,則利用瑞利商取駐值的條件,就可求出物體振動的固有頻率的近似值。
與伽遼金法的區別:
里茲法本質是基於最小能量原理的,而伽遼金是一種加權餘量法,只是當我們取權函式為形函式時(權函式可以很多取法,比如最小二乘什麼之類的),這個時候兩者是等效的。
所以兩者雖然在某個特定的條件是等效的(注意一般是用“等效”,而少用相同),但是本質是思路是不同的。
里茲法本質上和現在我們用的常用的很多有限元法是一樣的,區別在於里茲法是基於全域的,而有限元是基於單元假設形函式的。很顯然,基於全域的話形函式是非常難的,除非非常簡單的形狀,這也是為什麼里茲法不能普遍的解決問題,因為它沒有利用離散(離散就形函式簡單,可以利用計算機的數值計算能力)。
