簡介
瑞利一里茨法是通過泛函駐值條件求未知函式的一種近似方法。英國的瑞利於1877年在《聲學理論》一書中首先採用,後由瑞士的W.里茲於1908年作為一個有效方法提出。這一方法在許多力學、物理學、量子化學問題中得到套用。同時它也是廣泛套用於套用數學和機械工程領域的經典數值方法,它可以用來計算結構的低階自然頻率。它是直接變分法的一種,以最小勢能原理為理論基礎。通過選擇一個試函式來逼近問題的精確解,將試函式代入某個科學問題的泛函中,然後對泛函求駐值,以確定試函式中的待定參數,從而獲得問題的近似解。
方法說明
瑞利一里茨法允許計算瑞茨對(λ,x),其近似特徵值問題的解
Ax=λx
瑞利一里茨法其中 。
過程如下:
瑞利一里茨法1.在 中計算一個正交基數 V,逼近與m個特徵向量對應的本徵空間
2.計算R<—-V*AV
瑞利一里茨法3.計算R求解的特徵值
4.形成瑞茨對
瑞利一里茨法人們總是可以通過 計算得到正確解。
如果使用Krylov子空間,而A是一般矩陣,那么這就是Arnoldi算法。
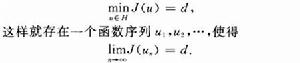
設l ( u)是定義在某個空間H上的泛函,考慮泛函極小問題:J(u)=min。假定
瑞利一里茨法函式序列ul,uz,…稱為泛函極小問題的極小化序列。里茨法如下設w1,wz ,…構成空間H的一組完備基,因此極小化序列中每個u。均可表示為
瑞利一里茨法現舉一簡單例子來說明里茨法以及它與當代有限元法的關係.仍考慮有限元法中的問題(1)(參見“有限元法”,可以證明它與下述問題等價,即求uEI; (,fl ),使得
瑞利一里茨法即為。的近似解。因此問題歸結為如何確定H:(,(Z)中的完備基.當區域口是典型區域(如正方形),則可選取代數或三角多項式之類的解析函式,作為空間H; (,fl)的完備基,這就是經典的里茨法.但當區域月為一般區域時,要尋找解析函式作為基函式,就極其困難,或根本不可能.此時有限元法卻可行.首先構造空間Ho (,(l)的有限元子空間Vh,則}1 } }2 }…,吼(對線性有限元空間,即為屋頂函式,參見“有限元法”),組成V、的一組基函式,n=diamVh.這樣以}P}代替w,即為有限元法.
瑞利一里茨法是由瑞士物理學家、數學家裡茨(Ritz, W.)於1911年提出來的,在此之前,瑞利( Rayleigh , L,.)曾成功地運用過類似的概念,故稱瑞利一里茨法.
原理:
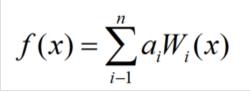
此法假定待求函式f(x)為n個已知函式 Wi(x)的線性組合:
瑞利一里茨法式中αi為未知常係數。通過由f(x)組成的泛函式[f(x)]取駐值的條件(駐值條件對應於已知的物理定律或定理)得到n個方程,
瑞利一里茨法由此解出n個未知常係數αi,從而得到f(x)。這一理論還可推廣到多維問題。
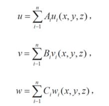
在求解彈性體位移時,先假定彈性體內沿x、y、z方向的位移u、v、w分別由一系列已知的滿足彈性體全部位移邊界條件的連續函式ui(x,y,z)、vi(x,y,z)、wi(x,y,z)(i=1,2,…,n)疊加而成,即
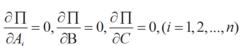
瑞利一里茨法式中Ai、Bi、Ci為待求係數,共3n個。將u、v、w代入作為泛函的總勢能Π的表達式,根據彈性學最小勢能原理,總勢能變分為零,即有駐值條件:
瑞利一里茨法這是關於3n個待求係數Ai、Bi、Ci的3n個代數方程。解出3n個未知係數便得到全部位移。通過對位移進行微商並利用應力-應變關係就得到應力。由於瑞利-里茲法假設的位移函式u、v、w可以不滿足力的邊界條件,所以位移函式的構成比較容易,計算也比較方便,但有時求出的應力誤差較大。
在振動問題中,如果將物體的可能位移表達為若干給定的位移的線性組合,而以瑞利商(見瑞利原理)作為位移的泛函,則利用瑞利商取駐值時條件,就可求出物體振動的固有頻率的近似值。
套用:
在機械工程領域,它被用於計算多自由度系統(如彈簧-質量系統、變截面軸上的飛輪)大致的共振頻率;還可以計算圓柱體的折斷載荷。瑞利-里茲法是瑞利法的擴展。
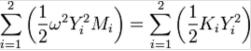
以下的討論舉一個最簡單的例子(2個集中彈簧和2個集中質量,並只考慮2個模態振型)。因此M= [m1,m2] 且K= [k1,k2]。
為該系統假設一個由兩項組成的模態振型,其中一個用因數B加權。例如Y= [1, 1] +B[1, –1]。
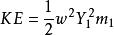
瑞利一里茨法簡諧運動理論認為撓度等於0時的速率為角頻率ω乘以最大撓度(y)。本例中,每個質量的動能 等等,而每個彈簧的勢能(PE)等於1/2k1Y1^2等等。對於連續系統,該表達式要麻煩得多。因為引入了無阻尼假設,因此整個系統當y=0時的KE等於v=0時的PE。由於不存在阻尼,系統各點同時達到v=0的狀態。
因此,由KE = PE得:
瑞利一里茨法注意模態振型的實際振幅總會從兩邊消去。也就是說,假設撓度的真正數值並不重要。我們在意的是振型。
由於ω與B有關,為了找到最小的ω,我們令dω / dB = 0。此時的B的取值可以使得ω最小。由於振型是假設的,通過該方法得到的ω是需要預測的基頻的上界。我們需要得到的是這個上界的最小值。
該方法有很多技巧,最重要的是試圖找到儘量真實的假設振型。例如在梁的撓曲問題中,使用一個儘量接近真實解得變形模態是明智的。對於大部分簡單的梁連線問題,即使振型的階次很低,一個四次的函式就足夠了。彈簧和質量並不必離散,它們可以使連續的或者是雜糅的。只要能夠描述分散式的KE和PE,或把連續的單元離散,該方法可以很容易編程來找到複雜分散式系統的自然頻率。
該方法可以反覆疊代使用,把附加的模態振型疊加到先前的最佳解上。也可以建立一個用許多參數B和振型組合的長表達式,最後對它們求偏導。
在振動問題中,如果將物體的可能位移表達為若干給定的位移的線性組合,而以瑞利商(見瑞利原理)作為位移的泛函,則利用瑞利商取駐值的條件,就可求出物體振動的固有頻率的近似值。
