球環的概念
將一弓形繞不穿過它的一條直徑旋轉,所產生的立體稱為 球 環。弓形是指由一段圓弧與它所對弦所圍成的圖形。當弧是劣弧時,稱為劣弓形,否則稱為優弓形。如圖1中的球環就是球檯去掉中間的圓柱,圖2中的球環就是球檯去掉中間的圓台 。
圖1
圖2相關定理
球環的體積 弓形繞不穿過它的直徑旋轉時,所產生的體積(球環的體積)是一個柱的體積的六分之一,這個柱的底是以弓形的弦為半徑的圓,高則為這弦在軸上的射影 。
圖3證明 設一圓O(圖3)的弧AB及其弦所園的弓形繞通過O的軸xy旋旋,仍設ab為AB在xy上的射影。
當圖形繞xy旋轉時,圓扇形OAB產生的體積等於
球環
球環另一方面,三角形OAB旋轉時產生的體積等於面積(以OH表示圓心到弦AB的距離),即等於
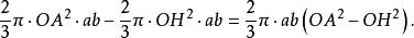
球環上面兩個體積的差顯然由球環的體積構成,因此它等於
球環但在三角形OAH中有
球環所以
球環球環AB的體積=,證畢 。

