現金管理存貯模型(inventory model of cashmanagement )一類特殊存貯模型.指在銀行或企業中,為保障現金的交易、應急及投機等需求而建立的現金貯備最佳化管理模型.用產,+子,表示第n天的日淨現金流,其中子。是均值為0的獨立隨機變數,產。為現金流的均值,n=1,2,}}},N,N為平均期限的天數(做出決策前的現金水平稱為開結餘,一天營業結束後的現金水平稱為閉結餘),即對N天計算平均結餘.第n步的開結餘為B,
現金管理存貯模型是從開始到第n步以前的日累積閉結餘,約定SN-0.現金兌換費用具有如下的結構:
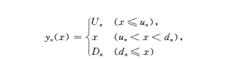
現金管理存貯模型式中c,c}>O,K,Kd>0為常數,Z是現金兌換量,Z>0表示變賣資產使現金增加,ZGO表示購入資產以減少現金.由式
現金管理存貯模型確定的策略稱為簡單策略,其中y}}x)是第n步做出決策之後的現金水平,u..鎮U鎮D簇d,是策略的參數.在相當廣的範圍內,該策略就是最優策略.現金管理中的存貯模型與一般存貯模型有兩點不同:
1.在一個周期中現金的庫存水平不但有可能下降,而且有可能上升,這將由收入小於或大於支出所決定;同樣地,在周期開始時,決策者改變庫存水平也可以有兩個方向:減少現金或增加現金.
2.在一般的庫存模型中,不管是缺貨還是過剩,都是以0為基準的.而對現金管理問題,則有所謂補償結餘的要求。一是絕對補償結餘要求,要求每個周期都有一定的結餘;二是平均補償結餘要求,要求在包括若干周期的某個時期中,按周期平均的結餘等 於某個給定值,且平均補償結餘要求是合理的.
