定義
玻色–愛因斯坦凝聚(Bose–Einstein condensate)是玻色子原子在冷卻到接近絕對零度所呈現出的一種氣態的、超流性的物質狀態(物態)。1995年,麻省理工學院的沃夫岡·凱特利與科羅拉多大學鮑爾德分校的埃里克·康奈爾和卡爾·威曼使用氣態的銣原子在170 nK(1.7×10K)的低溫下首次獲得了玻色-愛因斯坦凝聚。在這種狀態下,幾乎全部原子都聚集到能量最低的量子態,形成一個巨觀的量子狀態。
理論
所有原子的量子態都束聚於一個單一的量子態的狀態被稱為玻色凝聚或玻色-愛因斯坦凝聚。1920年代,薩特延德拉·納特·玻色和阿爾伯特·愛因斯坦以玻色關於光子的統計力學研究為基礎,對這個狀態做了預言。
2005年7月22日,烏得勒支大學的學生羅迪·玻因克在保羅·埃倫費斯特的個人檔案中發現了1924年12月愛因斯坦手寫的原文的草稿。玻色和愛因斯坦的研究的結果是遵守玻色-愛因斯坦統計的玻色氣體。玻色-愛因斯坦統計是描寫玻色子的統計分布的理論。玻色子,其中包括光子和氦-4之類的原子,可以分享同一量子態。愛因斯坦推測將玻色子冷卻到非常低的溫度後它們會“落入”(“凝聚”)到能量最低的可能量子態中,導致一種全新的相態。
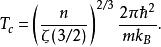
一個單純的三維的氣體的臨界溫度為(氣體處在的外部勢能是恆定的):
玻色–愛因斯坦凝聚態其中:
玻色–愛因斯坦凝聚態 | 臨界溫度 |
| n | 粒子密度 |
| m | 每個玻色子的質量 |
玻色–愛因斯坦凝聚態 | 約化普朗克常數(狄拉克常數) |
玻色–愛因斯坦凝聚態 | 玻爾茲曼常數 |
玻色–愛因斯坦凝聚態 | 黎曼ζ函式: 玻色–愛因斯坦凝聚態 |
發現
1938年,彼得·卡皮查、約翰·艾倫和冬·麥色納(Don Misener)發現氦-4在降溫到2.2 K時會成為一種叫做超流體的新的液體狀態。 超流的氦有許多非常不尋常的特徵,比如它的黏度為零,其漩渦是量子化的。很快人們就認識到超液體的原因是玻色-愛因斯坦凝聚。事實上,康奈爾和威曼發現的氣態的玻色-愛因斯坦凝聚呈現出許多超流體的特性。
“真正”的玻色-愛因斯坦凝聚最早是由康奈爾和威曼及其助手在天體物理實驗室聯合研究所於1995年6月5日製造成功的。他們使用雷射冷卻和磁阱中的蒸發冷卻將約2000個稀薄的氣態的銣-87原子的溫度降低到170 nK後獲得了玻色-愛因斯坦凝聚。四個月後,麻省理工學院的沃爾夫岡·克特勒使用鈉-23獨立地獲得了玻色-愛因斯坦凝聚。克特勒的凝聚較康奈爾和威曼的含有約100倍的原子,這樣他可以用他的凝聚獲得一些非常重要的結果,比如他可以觀測兩個不同凝聚之間的量子衍射。2001年康奈爾、威曼和克特勒為他們的研究結果共享諾貝爾物理獎。
康奈爾、威曼和克特勒的結果引起了許多試驗項目。比如2003年11月因斯布魯克大學的魯道爾夫·格里姆、科羅拉多大學鮑爾德分校的德波拉·金和克特勒製造了第一個分子構成的玻色-愛因斯坦凝聚。
與一般人們遇到的其它相態相比,玻色-愛因斯坦凝聚非常不穩定。玻色-愛因斯坦凝聚與外界世界的極其微小的相互作用足以使它們加熱到超出臨界溫度,分解為單一原子的狀態,因此在短期內不太有機會出現實際套用。
2016年5月17日,來自澳大利亞新南威爾斯大學和澳大利亞國立大學的研究團隊首次使用人工智慧製造出了玻色-愛因斯坦凝聚。人工智慧在此項實驗中的作用是調節要求苛刻的溫度和防止原子逃逸的雷射束。
套用
雖然玻色-愛因斯坦凝聚很難理解也很難製作,但它們也有許多非常有趣的特性。比如它們可以有異常高的光學密度差。一般來說凝聚的折射係數是非常小的因為它的密度比平常的固體要小得多。但使用雷射可以改變玻色-愛因斯坦凝聚的原子狀態,使它對一定的頻率的係數驟增。這樣光速在凝聚內的速度就會驟降,甚至降到數米每秒。
自轉的玻色-愛因斯坦凝聚可以作為黑洞的模型,入射的光不會逃離。凝聚也可以用來“凍結”光,這樣被“凍結”的光在凝聚分解時又會被釋放出來。
玻色–愛因斯坦凝聚態
玻色–愛因斯坦凝聚態
玻色–愛因斯坦凝聚態
玻色–愛因斯坦凝聚態
玻色–愛因斯坦凝聚態 