簡介
在量子力學裡, 玻恩定則是一個基礎公設,由原本提出這定則的物理學者馬克斯·玻恩而命名。它給定對量子系統做測量得到某種結果的機率,它與海森堡測不準原理將機率的概念引入量子力學,因此使得量子力學展現出其獨特的非決定性質。物理學者做實驗尚未發現任何違背玻恩定則的量子行為。
物理學者試圖從其它假定推導出玻恩定律,但結果都不具強而有力的說服力。例如,有些物理學者聲稱從多世界詮釋可以推導出玻恩定律,但他們給出的導引被批評為循環論證。葛立森定理對於玻恩定則的形式給出數學線索,但並沒有對於其機率行為顯示出物理曙光。
沃傑克·祖瑞克倚賴系統與環境之間的量子糾纏引起的環輔不變性(環境輔助不變性,environment-assisted invariance)來推導出玻恩定則。在這裡,環境扮演了促使機率出現的關鍵角色。這也意味著祖瑞克的方法只適用於開放系統。不論如何,這是一種充滿想像力的點子,很具有未來發展的潛能。
概述
離散值譜
玻恩定則
玻恩定則
玻恩定則
玻恩定則
玻恩定則假設對於量子態為 的某量子系統測量可觀察量O,而對應於可觀察量O的厄米算符 ,其值譜為離散的,所含有的本徵值與對應的本徵態分別標記為 與 , 。
玻恩定則玻恩定則闡明,獲得測量值 的機率為
玻恩定則連續值譜
玻恩定則
玻恩定則
玻恩定則
玻恩定則
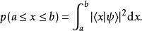
玻恩定則假設對於量子態為 的某量子系統測量可觀察量X,而對應於可觀察量X的厄米算符 ,其值譜為連續的,所含有的本徵值與對應的本徵態分別標記為與,。
玻恩定則玻恩定則闡明,獲得測量值的機率為
玻恩定則歷史
馬克斯·玻恩最先於1926年發表論文提出玻恩定則。在這篇論文裡,玻恩解析了一個散射問題的薛丁格方程,由於受到阿爾伯特·愛因斯坦在光電效應研究的啟發,玻恩在一個角註裡總結,玻恩定則對於解答給出唯一可能的詮釋。1954年,因為“在量子力學領域的基礎研究,特別是對波函式的統計學詮釋”,玻恩與瓦爾特·博特共同榮獲諾貝爾物理學獎。約翰·馮·諾伊曼在他的1932年著作《量子力學的數學基礎》里闡明譜理論套用於玻恩定則的論述。
參閱
•量子測量
•量子退相干

