簡介
由懸浮在氣態介質中的固體或液體粒子所組成的氣-固或氣-液分散系統稱為氣溶膠。當氣溶膠處在非等溫場中時,懸浮在氣體介質中的微顆粒會受到一個與溫度梯度方向相反的作用力而運動,這種現象稱為熱泳。在日常生活中我們可以經常看到這種現象,如煤油燈燈罩長時間使用後會變黑,就是燈罩中熱氣流的熱泳所致。工業上的熱除塵器就是利用了熱泳現象,將灰塵沉降在冷的壁面上而達到收集和除塵的效果。在換熱器中,冷卻較快的壁面處結垢較快也是熱泳現象的例證 。
熱泳速度公式
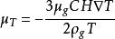
在多原子理想氣體中,對粒徑小於氣體分子平均自由程的球形粒子,熱泳速度正比於溫度梯度▽T,與粒徑無關,即 :
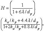
熱泳現象對於較大的粒子,由於在粒子內部會建立溫度梯度,計算較複雜,可用下式表示:
熱泳現象式中,μ—為熱泳速度;
μ—為氣體的粘度;
ρ—為氣體的密度;
T—為氣體的溫度。
C—為坎寧漢滑動校正係數。
H—為與粒徑d、氣體分子平均自由程λ、粒子和氣體的導熱係數k和k有關的係數,表達式如下:
熱泳現象特殊情況
光泳現象為熱泳現象的一種特殊情況。指光照在粒子內部引起溫度梯度,在粒子周圍的氣體中也會出現相同的溫度梯度,致使粒子產生的一種熱泳現象。光泳力取決於光照強度和波長,以及粒子大小、形狀和材料種類等因素。光泳現象是粒子與其周圍氣體相互作用的結果,不會在真空中產生 。
