煙氣抬升過程
煙氣抬升高度煙氣的抬升過程如右圖所示,分為四個階段:
①噴出階段:這個階段主要依靠煙流本身的初始動量向上噴射。
②浮升階段:由於煙流的熱力作用,煙氣密度比空氣小,產生浮力上升。
③瓦解階段:當煙氣上升到一定高度後,煙流與空氣混合,失去動量和浮力隨風飄動,發生較大的波動。
④變平階段:這時煙流完全變平,在大氣湍流的作用下,上下左右擴散,使煙流愈擴愈大。
影響煙氣抬升的因素
從煙氣的抬升過程可以看出,影響抬升的主要因素有煙流本身的熱力和動力性質、當地的氣象條件和下墊面的條件,前面兩種因素與工廠有關,後面兩種因素與環境條件有關。
煙氣抬升首先取決於它本身的初始動量和浮力。初始動量取決於排氣速度的大小,而排氣速度又與排煙裝置和煙囪的出口直徑有關,速度越大,動力抬升越高。煙氣的浮力與煙氣和周圍空氣密度差成正比。而密度差的大小主要決定於它們之間的溫度差。溫差愈大,密度差也愈大,產生的浮力也愈大,煙雲上升愈高。許多實測資料表明,煙氣抬升主要受熱力因素的影響。
煙氣排入大氣後,究竟能抬多高,還取決於氣象因子,其中影響最大的是煙囪口的平均風速和湍流強度。近地面大氣的湍流狀況是引起煙氣和環境空氣相互混合的主要因素,平均風速越大,湍流越強,則混合越快,抬升越小。下墊面對煙氣抬升也有影響,主要表現在起伏的下墊面所引起的動力效應。高大的建築物和丘陵、山地可以引起煙雲下瀉、下沉等,直接阻礙煙氣上升。
煙氣抬升高度公式
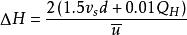
霍蘭德式
煙氣抬升高度式中T,T—煙氣和空氣的溫度,K;
ΔH—煙氣抬升高度,m;
Q—排出煙氣的熱量,kJ/s;
V—煙氣出口速度,m/s;
d—煙囪出口直徑,m;
煙氣抬升高度—煙囪口高度上的平均風速,m/s。
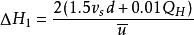
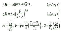
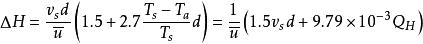
布里吉斯(Briggs)式
煙氣抬升高度當大氣穩定時
煙氣抬升高度
煙氣抬升高度當大氣為中性或不穩定時
煙氣抬升高度當F<55時,x*=14F ;F≥55時,x*=34F
式中 Δθ/Δz—位溫梯度,K/m;
x—在大氣穩定層結下,煙氣抬升達最高值所對應的煙囪下風向軸線距離,m;
F—浮力通量,m /s ;
S—大氣穩定度參數;
x—以煙囪噴出為原點,下風向軸線距離,m;
x*—大氣湍流開始起主導作用時下風向軸線距離,m。
布里吉斯式適合於中小型熱源的煙雲抬升計算,火力發電廠的煙源多採用此式。
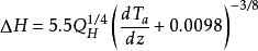
國家標準推薦式
國標GB/T 13201—1991推薦的煙氣抬升公式如下:
1、當Q≥2100KJ/s,△T≥35K時
煙氣抬升高度
煙氣抬升高度
煙氣抬升高度式中,n,n,n——係數,按下表選取;
P——大氣壓力,P;
Q——大氣排放量(實際狀態)m /s。
係數n,n,n
| Q | 地表狀況 | n | n | n |
| Q>2100 | 農村或城市遠郊區 | 1.427 | 1/3 | 2/3 |
| 城區 | 1.303 | 1/3 | 2/3 | |
| 2100>Q | 農村或城市遠郊區 | 0.332 | 3/5 | 2/5 |
| 城區 | 0.292 | 3/5 | 2/5 |
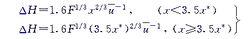
2、當1700kJ/s<Q<2100kJ/s時
煙氣抬升高度
煙氣抬升高度3、Q≤1700kJ/s時或ΔT<35K時
煙氣抬升高度
煙氣抬升高度4、凡地面以上10m高度平均風速 時
煙氣抬升高度
煙氣抬升高度式中 ——排放源高度以上環境溫度垂直變化量,K/m,取值不得小於0.01K/m。

