焦磷酸三聚氰胺

焦磷酸三聚氰胺

acid with

更直觀更直觀

焦磷酸三聚氰胺

基本屬性
中文名稱:焦磷酸三聚氰胺
中文別名:三聚氰胺聚磷酸鹽
英文名稱:Diphosphoricacidcompd.with1,3,5-triazine-2,4,6-triamine
CAS號:15541-60-3
分子式:C3H6N6•xH4O7P2
分子量:304.10
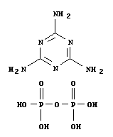
結構式:

理化性質

它的水溶性極低,熱穩定性好,加工溫度可達到300°C,適合加工溫度要求高的基材;生煙量少,產生的煙密度很低,不產生熔滴現象。

主要用途

作為非鹵素和磷基阻燃劑,它既可以單獨作為阻燃劑使用,也可以作為輔助型阻燃添加劑,廣泛用於各種熱塑性塑膠、聚烯烴、合成橡膠、工程樹脂、防火塗料等多種材質的阻燃;

熱門詞條

聯絡我們