簡介
無限維流形是有限維流形的推廣。
所謂無限維流形,通常是指巴拿赫空間或希爾伯特空間維模型空間的微分流形。
套用
定義圖冊
無限維流形無限維流形為了適應數學研究的需要而發展起來的,除了它在維數等方面有別於普通的微分流形之外,很多概念都可以類似於有限維情形而獲得定義,例如,可以定義類圖冊。
無限維流形
無限維流形
無限維流形
無限維流形設 X 是一個集合, 是一族區圖集,若他滿足下列條件,則稱這樣的維一個類圖冊,而每個稱為該圖冊中的區圖:
無限維流形
無限維流形1、每個 是 X 的一個子集,且的全體覆蓋 X;
無限維流形
無限維流形
無限維流形
無限維流形2、每個 是到某個巴拿赫空間 E 的開子集的雙射,且對任意 i,j, 在E 中是開子集;
無限維流形
無限維流形3、映射 對每一對指標 i,j 是一個同構
定義切向量
無限維流形也可以定義切向量:
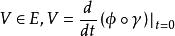
設X是一個E流形,則在任一點 x∈X 處的切向量有兩個等價的定義:
無限維流形
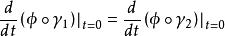
無限維流形1、在流形 X 處的切向量是在x處相切的曲線的一個等價類,即所有的曲線,若在某個區圖中,
無限維流形
無限維流形則稱,從而形成等價類,若向量
無限維流形
無限維流形則稱它為在區圖中在x處切於曲線γ 的切向量的代表;
無限維流形
無限維流形
無限維流形
無限維流形
無限維流形
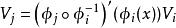
無限維流形2、是x∈X 處三元組 的等價類,其中是 X 在 x 處的任一相容區圖,是 E 的一個向量,若,則三元組與等價。
無限維流形
無限維流形X在x處切向量的全體構成一個向量空間,稱這個向量空間為切空間,記為,類似地也可定義相應的餘切向量與餘切空間。
