術語簡介
濾波器通帶,英文名filter transmission band,是濾波器允許通過信號的頻率範圍。
濾波器通帶濾波器通帶(filter transmission band) ,信號通過濾波器時,衰減最小的頻帶,即濾波器允許通過信號的頻率範圍。理想濾波器是指無衰減的傳輸頻帶。
實際濾波器的通帶內不僅有衰減,還有衰減畸變。因此在設計濾波器時,通常規定通帶衰減不得超過的數值,或者規定通帶內衰減變化的最大容許值。
濾波器簡介
濾波器定義
網路的一種類型.即只讓某一頻帶的信號通過而阻止其他頻帶的信號通過的網路。信號能通過的頻帶稱為通帶,信號不能通過的頻帶稱為阻帶。 濾波器對通帶以外的頻率衰減很大,抑制信號通過,稱為阻帶(或止帶)。
濾波器的類型
根據通頻帶的範圍,濾波器可分為低通濾波器、高通濾波器、帶通濾波器和帶阻濾波器四種類型。
按元件的構成,濾波器可分為LC濾波器、晶體濾波器、陶瓷濾波器和由機械元件組成的機械濾波器等。
濾波器通帶條件
濾波器的電路結構常用的濾波器是T形和Ⅱ形(X形也可等效為T形或Ⅱ形),最簡單的是г形,兩個г形可構成T形或Ⅱ形濾波器,г形網路的串聯臂阻抗取Z/2,並聯臂阻抗取2Z。
(1)K式濾波器的條件 在г形、T形、Ⅱ形濾波器中,如果串聯臂阻抗與並聯臂阻抗的乘積是常數,並且是一個正實數,則這種濾波器稱為K式濾波器。令其常數為K,則K式濾波器的條件是
濾波器通帶對於T形及Ⅱ形濾波器要滿足上式條件,Z和Z的電抗必定是異號。如果Z、Z都是純電阻,雖然也滿足上述條件,但對於通過的電流只能給予一定的衰減,而與頻率無關,則不是濾波器,所以Z和Z的電抗性質相反是濾波器構成的條件。
(2)濾波器的通帶條件根據分析推導,濾波器的通帶條件為
濾波器通帶
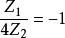
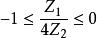
濾波器的通帶與阻帶從濾波器的構成條件可知,Z/4Z不會是正的。由上式通帶條件,Z/4Z=0和Z/4Z=-1成為濾波器通帶和阻帶的邊界條件。
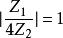
Z/4Z在0與-1之間為通帶,Z/4Z≤-1或Z/4Z≥0為阻帶。滿足邊界條件的頻率是截止頻率,濾波器的截止頻率可由下式求得
濾波器通帶或者
濾波器通帶典型濾波器
低通濾波器
K式低通濾波器低通濾波器串聯臂是電感線圈,它對高頻呈現較大的阻抗,能抑制高頻信號傳輸至輸出端;並聯臂是電容,對高頻呈現較小的阻抗,使高頻信號有較大的分流作用。
串聯臂電感對低頻呈現較低阻抗,使低頻信號無衰減地通過;並聯臂電容對低頻呈現高阻抗,分流作用很小,所以構成了只讓低頻信號通過而對高頻信號具有很大抑制能力的低通濾波器。
高通濾波器
高通濾波器及衰減特性其中,串聯臂電容對低頻呈現較大的阻抗,能抑制低頻信號傳輸至輸出端,而並聯臂電感對低頻信號呈現較小的阻抗,分流作用較大;串聯臂電容對高頻呈現較低阻抗,並聯臂電感對高頻信號分流作用很小,因此高頻容易通過。
綜上所述,這是一種只讓高頻通過,而抑制低頻傳輸的高通濾波器。
帶通濾波器
前面低通和高通濾波器都是套用單個電抗元件作為串聯臂阻抗和並聯臂阻抗,但在帶通濾波器中,則用串聯諧振和並聯諧振分別組成串聯臂和並聯臂阻抗。
帶阻濾波器
如果將帶通濾波器中的元件連線方法調換一下,即串聯臂用並聯諧振迴路,而並聯臂改用串聯諧振迴路,則可得到與帶通特性相反的帶阻濾波器。

