湍流的特性
湍流在空氣動力學中指的是短時間(一般少於10min)內的風速波動。為了有效地描述風,將它認為是通過天氣、晝夜、季節的平均風速和湍流的風速波動疊加構成的。這些風速波動的周期一般為一到幾個小時,在10分鐘,湍流波動的平均值為零。
湍流產生的原因主要有兩個:一個是當氣流流動時,由於地形差異(如山峰)造成的與地表的摩擦或者阻滯作用;另一個是因為大氣溫度差異和空氣密度差異引起的氣流垂直流動。通常這兩種原因彼此影響。例如,當氣流經過高山時就會被迫流向溫度較低的地區,這時氣流與大氣環境的熱平衡被打破,引起風速波動。
湍流顯然是一個複雜的隨機過程,並且不用簡單明確的方程來表示,我們能可以通過統計規律來研究湍流。針對湍流統計規律的描述有很多,關鍵在於找出是湍流強度和陣能哪一種夠在實際工程中得到最好的套用,最簡單的統計描述就是湍流度和風因子。其中,湍流強度是對湍流總體水平的度量。
定義
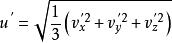
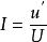
湍流度是度量氣流速度脈動程度的一種標準,通常用脈動速度均方和與時均速度之比來表示脈動的大小,即
湍流度其中,u'是湍流脈動速度的均方根(又即風速的標準差),U是平均速度。如果湍動能為k,那么
湍流度Ux,Uy,Uz為平均速度U在x,y,z三個方向上的分量。
湍流度湍流強度的估計
在進行CFD數值模擬的時候,往往需要估計計算入口處湍流強度的數值。如果想估計的準,必須要進行一些實際的測量或者要有一定的實際經驗。以下是一些估計計算入口湍流度的方法。
1. 較高湍流度的情況:在複雜幾何形狀內部進行的高速流動一般湍流度在5%---20%。比如熱交換機,渦輪,壓縮機等。
2. 中度湍流度的情況:在類似於較粗的管子內流動的不太複雜的流動,較低速度(雷諾數)流動等。此時一般來說湍流度在1%---5%。
3. 低湍流度的情況:來源於靜止的氣流的流動。比如,汽車相對與靜止的空氣在運動,潛水艇外部的流動,航空飛行器的飛行。當然,高質量的風洞也可以產生較低湍流度的流動。此時湍流度一般都低於1%。對於無風時的時候,相對於航空飛行器的空氣的湍流度大約為萬分之八。
相關研究
不同湍流狀態,湍動強度數值有很大差異。例如,流體在圓管中流動時,湍動強度的數值範圍為1一10%,而對於尾流、自由噴射流這樣的高湍動流動,湍動強度的數值可達40% 。
對普通型旋風除塵器,湍流度在排氣管以下的主分離空間內,呈較好的軸對稱性。湍流度在外旋流區沿徑向分布基本均勻,平均在4%~10%之間,而在內旋流區沿徑向向內逐漸加大,中心部位可達30%以上,這時相當於脈動速度可達3~5m/s,與短路流區的時均徑向速度相當,加劇了細顆粒湍流擴散,對分離不利,同時內旋流較高的湍流度意味著能量耗散也大。
在湍流度方面,姬忠禮等利用熱線風速儀的測量表明,在外旋流區及上部環形空間內,湍流度與湍流脈動速度均方根值較小,並且沿徑向只有微小變化,湍流度約為2~5%。而在內旋流區,尤其在排氣管末端和排灰口附近,脈動速度和湍流度相當大,湍流度可高達30%,脈動速度均方根值可達6~9m/s。在這些部位,脈動速度與徑向速度相近,流場極不穩定。
石油大學時銘顯院士對蝸殼式旋風分離器內的湍流度進行了研究,結果表明:在分離器的分離空間的筒段,湍流度變化相對平穩,基本不隨軸向高度而變化,而且被內外旋流的交界面分為兩區,外區與r/R無關,基本是一定值,約為9%左右;內區的湍流強度則隨r/R的減小逐漸增大,到中心軸線附近達到最大,軸向湍流度約為27%左右,切向湍流度約在27%~40%之間,在外區邊壁處的切向湍流度陡升,說明濃集在邊壁的顆粒很容易被二次揚起,影響了分離效率。在排塵口返混段,兩個分量的湍流度沿軸向都逐漸變為不分內外區,均隨r/R的減小而增大,切向湍流度沿軸向逐漸增大,從外向內陡升,比上段的值大得多。在排塵口附近,由於返混較嚴重,湍流度特別大。在蝸殼入口和排氣管所形成的上部環形空間,湍流度隨軸向的變化不大,兩端近壁處都上升,中間隨r/R的增大而有所上升,環形空間的軸向湍流度在數值上與分離空間外旋流的軸向湍流度數值相當,兩側近壁處軸向湍流度較大。切向湍流度幾乎與軸向高度無關,而且沿軸向分布較平坦,但在靠近器壁和排氣管邊壁處急劇增大,與軸向湍流度類似。切向湍流度沿軸向變化較大,呈非軸對稱性,在環形空間中下部,切向湍流度沿軸向高度不化不大。
低速低湍流度風洞
風洞是進行空氣動力學實驗的一項基本設備,迄今為止的大部分氣動力實驗都是在風洞中完成的。而且,許多空氣動力學方面的重要的理論,如俄國科學家儒科夫斯基的空氣螺旋槳理論,德國科學家普朗特的附面層理論,都是在風洞實驗中經過大量實驗後才總結提出的。
世界風洞的發展是從低速風洞開始的。世界上公認的第一個風洞是英國人溫罕姆(F.Wenham)於1871年建造的低速風洞。但真正的風洞是在二十世紀初飛機問世以後。到目前為止,世界上己建成具有規模的常規實驗風洞和各種特種實驗風洞三百餘座。與此同時,風洞實驗技術也得到了迅速發展,特別是70年代以來高機動性戰鬥機的發展、經濟舒適的先進民用飛機的發展以及工業空氣動力學的發展都對風洞實驗設備和實驗技術提出了新的、更高的要求。此外,隨著電子計算機的迅速發展和各種高精度微型感測器的出現,雷射、紅外、超導、液晶和微電子等測試技術的問世,使風洞的測量精度越來越高,實驗範圍不斷擴大,風洞效率大大提高。
實驗段氣流的脈動相對量(即湍流度或紊流度)很低的風洞稱低湍流風洞,這是揣流機理性實驗研究的重要設備之一。這種型式風洞可以是二元的或三元的。它的特點之一是實驗段流場湍流度很低,接近於無風時大氣的湍流度。即進行均勻各向同性揣流、剪下湍流、層流轉抉等機理性風洞實驗研究時,需要氣流的背景湍流度很低,氣流穩定均勻,以消除因氣流湍流度對轉扳雷諾數的影響,保證實驗結果的準確性和可靠性。它為專門研究受到湍流度影響較大的那些流動規律,例如物體表面的附面層變化情況等,提供了強有力的試驗平台。
為了使氣動試驗的雷諾數和馬赫數儘可能接近需要,一些航空已開發國家早在本世紀20至30年代就建成了變密度風洞和全尺寸風洞,但在湍流度不同的風洞中大量對比性試驗使人們認識到。隨著湍流度減小,圓球轉捩的臨界雷諾數明顯增加,平板轉捩的臨界雷諾數也明顯增加;更為人們所重視的是,由於風洞湍流度不同,使翼型、圓球的氣動特性有很大變化,特別是型阻係數有2至4倍的差別。這些重要的氣動現象和航空發展的實踐使人們越來越認識到,要發展新的機種、發展低阻翼型,要研究邊界層、層流化、湍流控制,要深入研究湍流模型理論及驗證新的氣動概念,必須有極低湍流度的、寬範圍變湍流度的風洞。正是在這些科研的推動下,自30年代末國內外又建成了一大批性能極佳的、研究方向各異的低湍流度風洞。國外比較著名的有美國國家航空航天局蘭利研究中心(NASA-Langley)的低湍流度壓力風洞、喬治亞理工學院的低湍流度風洞和德國哥廷根航天研究院的DLR低湍流度風洞;國內有西北工業大學的低湍流度風洞和南京航空航天大學的NH-3低湍流度風洞。它們的湍流度最低可以達到0.02%,甚至更低。

