定義
如下圖所示,已知A、B點的坐標,通過測量AP及BP的長度即可求出點P的坐標。這種定位方法就是測邊交會。
側邊交會示意圖排列順序
為了下面討論的方便,引入變數sign,它的數值說明了A、B、P的排列順序:A、B、P的排列順序與方位角的增加方向一致時sign取值為1;否則sign取值為-1。
下圖是數學系,A、B、P為逆時針排列,與方位角的增加方向一致,因此sign為1。
點位排列順序(數學系)下圖是測量系,A、B、P為順時針排列,與方位角的增加方向一致,因此sign為1。
點位排列順序(測量系)排列順序的判定
人工判定排列順序不複雜,但是比較煩。如果使用全站儀進行測邊交會,則在觀測邊長AP、BP的同時,可以觀測兩個水平角αA和αB。此時:
當sin(αB-αA)>0即PB與PA的夾角小於180度時,sign=+1;
當sin(αB-αA)<0即PB與PA的夾角大於180度時,sign=-1;
當sin(αB-αA)=0即PB與PA的夾角等於0或180度時,P點將在直線AB上。此時sign取+1或-1對P點坐標的計算是沒有區別的。
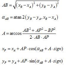
計算公式
公式一
計算公式一公式二
計算公式二定位精度
點P的定位精度為
定位精度