加色法與減色法
光不僅是人類生存的基礎,而且是人的視覺感受到顏色的先決條件。人們能夠感受到的色光為紅、橙、黃、綠、青、藍、紫,稱可見光譜,其中任意兩種或兩種以上色光相混合,呈現的第三種色光的亮度,是各自色光亮度之和,因而稱色光的混合為加色法。各種顏料、染料或油墨對於白光,都具有反射一定波長的色光和吸收其餘光的物理特性,因而某種顏色的油墨,呈現出反射某一段波長的顏色。兩種色料相混合而呈現的第三種顏色明度降低,若再加入一種色料,則明度會繼續降低,因此稱色料的混合為減色法。彩色印刷是利用不同顏色的油墨,將大小不同的“網點”疊印在白紙上,也是屬於色料的混合,故稱為減色印刷 。
減色印刷油墨顏色的測量與控制
印刷原色油墨的理想密度值與實際密度值減色印刷的理想理論假定印刷油墨原色(青墨、品紅墨、黃墨)選擇性吸收它們的補色紅、綠、藍。實際情況並不如此,我們必須為油墨的缺陷進行補償。三原色油墨密度的測量是用光學密度計內的選擇濾色片,這些密度計有與被測顏色成補色的帶通。因此,測量青色的時候用紅濾色片,測量品紅色的時候用綠色濾色片,測量黃色的時候用藍色濾色片。這是因為每種顏色的油墨膜層通過控制(吸收)補色來起作用。比如青色油墨吸收紅色波長因而控制印刷品的紅色。青色油墨膜層越厚,吸收的紅色光的量就越多。因此青色的墨膜將對紅光有較強的吸收,通過紅色濾色片測量可以給出一個高密度值。然而,品紅色或者黃色油墨將會強烈反射紅光,並且沒有紅密度。同樣地,品紅油墨有選擇性地吸收綠色光,並且有較高的綠密度,相反反射綠色光的黃色和青色油墨應該沒有綠密度。最後,黃色油墨應該有較高的藍密度,相反青色與品紅色應該沒有藍密度。在下表中概括了理想值與實際值的差異。理論上,紅、綠、藍的補色密度應該是無限高的數值(因為如果R=0,1/R就是無窮大)。然而實際印刷過程中,其數值如下,並且當D遠遠超出2.0時,人眼無法分辨出差異 。
減色印刷
減色印刷然而,實際油墨的行為並不理想。例如,在表17.2的右邊給出的青色油墨有一定的綠密度和藍密度,表明它並不是像理想青色油墨那樣將綠色和藍色光100%反射,而是吸收了一些綠色和藍色的波段。如果知道誤差,可以在分色的過程中用電子掃瞄器上的顏色校正工具來補償它們與理想行為間的差距。按照下面給出的等式,由密度值可以計算出油墨的色差和灰度值。比如,對於青色油墨,可以用美國印刷技術協會(GATF)定義的兩個等式來計算: (a為色差), (b為灰度值) 。
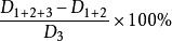
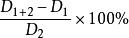
減色印刷在多色印刷色序中,油墨的疊印率可通過下面的公式計算:疊印率=(疊印顏色密度-印刷第一色密度)/印刷第二色密度×100%,或者疊印率= 。
油墨疊印率的測量及計算對油墨疊印率密度測量的階段,密度都是通過第二印刷色的補色濾色片來測量的,原因可參考下圖。假定印刷色序為青疊印在品紅油墨上(青+品紅+黃是經常被用到的印刷色序)。其中,(a)濕壓濕的油墨疊印率的計算,假設色序為青油墨疊印在品紅油墨上,r 為紅光反射率;(b)疊印率方程用於三色疊印,所有的油墨密度都是通過第3色的濾色片測得,圖中所表示的為藍密度 。
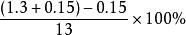
在光密度計中,用來測量青油墨密度的補色濾色片是紅色的。由於我們關心的是疊印在品紅油墨上的青油墨的量,需要測量從青色墨膜上反射出來的紅光的量。如果把與印在空白紙上(圖(a,iii)),且密度相同的青油墨疊印在濕的品紅墨膜上(圖(a,i)),由於紅光被青色墨膜完全吸收,無論是哪種情況,所測的密度都為1.3D,且紅光反射率都接近於0。然而,若疊印在(i)上的油墨少於(iii)上的,部分紅光將會從青色墨膜上反射出來,其密度將小於1.3D,這表明疊印率較小。由於沒有油墨是純淨的,使得原本簡單的實驗變得很複雜,而且在這種特殊的疊印中,品紅不是將青色油墨未吸收的入射紅光100%反射,而是吸收部分入射的紅光,可測得吸收了紅光的品紅油墨的真實密度(0.15)(圖(a,ii))。因此,疊印圖(i)所吸收的紅光的總量可由總的紅密度D=1.3+0.15得出 。
因此,疊印率方程式的原理是將疊印墨膜的紅密度(總的紅密度-品紅的紅密度)與印在空白紙上的相同油墨相比較(青紅密度(iii))。
減色印刷
減色印刷
減色印刷
減色印刷例如,假定青色油墨完全疊印在品紅色油墨上,疊印的青油墨厚度與印在空白紙上的是一樣的。如D=1.3:油墨疊印率=,倘若套印不完全,測得與青色疊印的紅密度為1.00,則:油墨疊印率=,同理,也可以計算三色套印來監測最終的黑版質量:三色疊印率=,倘若測得疊印後總的藍密度為1.7,則有:疊印率=。
減色印刷常用工藝
利用網線減色
利用網線減色是一種最原始的、最常用的地圖印色方法。人們利用網線比例的變化,通過鉻膠加網,獲得同一顏色色調濃淡不同的層次,達到減少用色。該法適用於較有變化規律的圖種,如海深圖,氣溫圖和山地地貌圖等 。
疊色減色
疊色減色是五十年代流行的三色套印,主要是在一幅圖上,使用不同顏色的單一網線,根據色彩學原理,黃、品(紅)、青三原色中二色疊印,產生橙、綠、紫不同色調,以表示不同的區域設色,減少印刷次數,達到多色的效果。如各種行政區劃圖等 。
綜合減色
綜合減色對於顏色多,梯度變化大的圖幅,不能採用上述兩種方法之一單獨表示,可將上述兩種方法綜合使用,既採用不同的網線比例,又採用壓色方法,這樣不但減少地圖的印刷色數,又能表示地圖豐富色彩的變化,提高地圖上色彩的辨別能力。地質圖就是採用上述兩種減色方法綜合表示的具體例子。北京市城區圖也是這一類的例子 。
黑白原圖的四色印刷
以上三種減色方法,工藝雖比較落後,但它可以使地圖印刷色數相應減少,達到多色印刷的效果,對於一般要求的圖類,採用這些方法進行製版印刷,仍有現實意義和實用價值。隨著企業普遍推廣TQC全面質量管理,標準化、數據化的套用,七十年代以來,國外廣泛採用地圖四色制印工藝,在我國近年來也有了新的突破。其特點就是將地圖線劃要素與區域設色用色統一起來,採用原色油墨(黃、品、青、黑)印刷地圖全部要素,這是我國地圖制印發展的方向。
黑白原圖,就是我們常說的清繪(或刻繪)原圖。黑白原圖的四色印刷的制印工藝及作業流程與一般地圖多色印刷的制印工藝及作業流程無重大的區別,也是採用原圖照相、翻版、分塗(或撕膜)、曬版、印刷等主要流程,但在工藝要求,技術處理,版材選用上有所不同。
黑白原稿地圖的四色印刷,共製版工藝,作業流程基本上與多色地圖印刷一樣,不同層次的區域設色及線劃要素,也必須分別採用軟片撕膜或描藍製作過程版,後通過打孔定位,將各加色版拷貝在一張軟片上成為加色版,區域設色和線劃層次愈多,過程版愈多。因此,製版工作量並未減少甚至還有所增加。但由於印刷色數減少,可大大降低印刷成本,提高地圖質量。對大批量地圖,如交通旅遊圖,經濟效益更為明顯 。
彩色原圖四色印刷
彩色原圖是指帶有彩色色調的原稿圖件,彩色原圖可分為彩色印刷原圖、著色原圖、航空彩色照片(包括衛星彩色照片)和一般彩色照片等。彩色原圖的四色制印工藝流程完全相同於彩色畫稿,都是通過原稿進行分色照相加網,以大小不同的網點,分別製作各色印刷原版,通過四色印刷,壓印出濃淡不同的色塊和線劃。彩色原圖分色製版的最新工藝是採用電子掃描機進行掃描分色。衛星彩色照片,航空彩色照片和普通彩色照片用電子掃描分色效果最佳。印刷彩色原圖採用電子掃描分色亦能得到理想效果。採用電子掃描分色製版,不但分色準確,質量好,而且縮短成圖周期,提高地圖的實用價值,倘若能解決彩色原稿質量問題,電子分色製版,在今日世界科技信息高速傳遞時代,它將為優質高速發展地圖生產提供廣闊的前景 。

