簡介
針對某一種特定距離的被攝體,同時消除球面像差和慧星像差的叫做消球差(aplanatism),而可矯正此二像差的鏡頭叫做消球差鏡頭(aplanat lens)。
基本概念
像差(aberration)
理想的攝影鏡頭在成像時,必須具備下列幾點特性:
①點必須成像為點。
②正前方的面必須與光軸垂直成像為正的面。
③被攝體與鏡頭的成像必須是相似形。此外,從映像表現面來看,忠實的色彩再現性也不容忽視。如果只注意到靠近光軸的光線,那么,單色光(特定波長的光)的場合就可以獲得接近理想鏡頭的描寫性能。然而,對於必須使用大光圈以獲取充分的光量,對焦也不只限於近光軸區域,而是畫面的每一個角落的攝影鏡頭而言,只要下列各項障礙因素存在,滿足理想條件的完美鏡頭是不存在的:
1.幾乎所有的鏡片面都是球面構成的,因此,以點呈現出來的光,無法結成理想的點;
2.光的波長的不同,焦點位置也不同;
3.廣角、變焦、望遠等,改變畫角時所衍生的各色各樣的需求。
包括這些因素在內的成像和理想的像之間的差異,總稱為像差(aberration)。總之,為了實現高性能鏡頭的目標,如何全力減少像差,以及如何儘量接近理想成像,將是最關鍵性的課題。像差為不同波長的光所引起的色像差以及單色光所引起的像差兩種。
色像差(chromatic aberration)
當像陽光這種白色光(由於各種色光平均地混在一起,所以感受不出色彩)通過三稜鏡時,我們可以觀察到彩虹光譜。這是因為波長的折射率(和色散率)不同所引起的現象(短波長的折射率強,長波長的弱)。這種發生在三稜鏡的現象,雖然程度有別,但同樣會發生在鏡頭上。這種起因於不同波長的像差,我們稱它為色像差。色像差分成兩種,一為光軸色像差(axial chromatic aberration),指的是光軸上的焦點位置,因波長不同產生異動現象;另一為倍率色像差(chromatic difference of magnification),為畫面周邊因波長的差異,所引起的映像倍率改變之謂。在實際作品上,光軸色像差引起色彩產生松蒙或光斑(flare),而倍率色像差則在畫面周圍引起色彩錯開,如鑲邊(fringing)的現象。色像差的矯正,一般是組合折射率和色散率不同的鏡片來進行。鏡頭的焦點距離愈長,色像差的影響愈大,特別是超望遠鏡頭,色像差矯正是獲得鮮銳畫質的最重要關鍵所在。僅僅仰賴光學玻璃的組合,依然有它的極限,不過自從採用各種低色散鏡片(佳能的人造結晶的螢石及UD鏡片,超級UD鏡片,DO鏡片;尼康的ED鏡片;騰龍的LD,AD鏡片;適馬,圖麗的APO,SLD鏡片)之後,立刻有了突飛猛進的改善。另外,光軸色像差又稱為縱色像差(longitudinal chromatic aberration與光軸形成縱向),倍率色像差又稱為橫色像差(lateral chromatic aberration與光軸成橫向)。
註:色像差不僅影響彩色軟片的色彩再現,也會減低黑白軟片的解像力。
球面像差(spherical aberration)
以鏡頭是球面構成的觀點而言,這是一種無可避免的像差。當平行的光線由鏡片的邊緣通過時,它的焦點位置比較靠近鏡片,而由鏡片的中央通過的光線,它的焦點位置則較遠離鏡片(這種沿著光軸的焦點錯開的量,稱為縱向球面像差)。口徑愈大的鏡頭,這種傾向愈明顯。受到球面像差影響的點像(point image),近軸光線的影像,其邊緣彷佛被周圍來的光斑(flare,又稱為halo光暈,它的半徑稱為橫向球面像差)所包圍。因此由畫面中央到周圍都受到影響,整體好象蒙上一層紗似的,變成缺少鮮銳度的灰濛影像。
對於球面鏡片的球面像差進行矯正,是件非常困難的工程。通常是以某一個入射距(從光軸起算的距離)的光線為基準,然後使用凸、凹兩枚鏡片予以適當的組合來完成,可是,只要是使用球面鏡片,某種程度的球面像差就無法獲得很大的改善。不過,徹底消除大口徑鏡頭全開狀態的球面像差,除了採用非球面鏡片之外別無他法。
消球差鏡頭慧星像差(coma/comatic aberration)
球面像差矯正過的鏡頭,在它的畫面周邊最常見的象。當光軸外的光線斜向射入鏡頭後,在面上無法聚集成一點,向畫面中心或相反方向形成拖著尾巴的一種像差。拖著尾巴的樣好象慧星(掃把星),所以叫做慧星像差,,這種松蒙現象稱為慧星光斑(comatic flare)。即使是可以在光軸上,將點成像成點的鏡頭,從離軸的點過來,通過鏡頭邊緣的光線,和通過鏡頭中心的主光線相比,有著不一樣的折射時,也容易產生這種像差。主光線的傾斜度愈大,慧星像差愈明顯,周邊的反差也愈降低,不過,縮小光圈仍然可以獲得某種程度的改善。受到這種像差影響的松蒙影像,呈現滲開的污染狀,令人感到不快。針對某一種特定距離的被攝體,同時消除球面像差和慧星像差的叫做消球差(aplanatism),而可矯正此二像差的鏡頭叫做消球差鏡頭(aplanat)。
消球差鏡頭像散現象(astigmatism)
經過球面像差和慧星像差矯正的鏡頭,在光軸上亦即畫面中心,可以將點成像成點畫像,可是,離軸區的點卻不成點,而變成橢圓形或線狀。這種像差即為像散現象。為了能詳細地在周邊部觀察這種現象,將焦點慢慢錯開,放射狀延長的線一直到焦點的第一位置,和同心圓的線一直到清晰的焦點的第二位置(這兩個焦點位置的距離,稱為像散差距)都可以確認出來。換言之,子午(meridonal)像面的光線和弧矢(sagittal)像面的光束並無等價條件,所以兩者的光線不能同時成為一點。子午像面的焦點在最佳位置時,弧矢像面的光線就結成線狀(同心圓方向/子午焦線),反之,弧矢像面的焦點在最佳置時,子午線面的光線也結成線狀(放射狀方向/弧矢焦線)。
消球差
定義
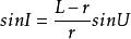
軸上點發出的同心光束經光學系統後,不再是同心光束,不同入射高度h(u)的光線交光軸於不同位置,相對近軸像點(理想像點)有不同程度的偏離,這種偏離稱為軸向球差,簡稱球差。
消球差鏡頭由於軸向球差的存在,在高斯像面上的像點已不是一個點,而是一個圓形的彌散斑,彌散斑的半徑稱為垂軸球差。
消球差鏡頭
消球差鏡頭消除方法
(1)配曲(利用透鏡形狀與球差的關係消除單透鏡的像差)
透鏡的縱向球差與透鏡的折射率nL和曲率半徑r1,r2都有關,因透鏡焦距f也是nL和r1,r2這三個參量的函式,故對給定的nL,同樣焦距的透鏡可以有不同的曲率比r1/r2,選擇這個比值,可使球差的數值達到最小。
(2)組合(正負透鏡的組合,組合方式:膠合或分離)
用配曲法不可能將一個透鏡的球差完全消除。
單個的正透鏡產生負球差:邊緣光線的像方截距L’比近軸光線的像方截距l’小;
單個的負透鏡產生正球差:邊緣光線的像方截距L’比近軸光線的像方截距l’大;
凸透鏡的球差是負的,凹透鏡的球差是正的。把凸、凹兩個透鏡粘合起來,組成一個複合透鏡,可使某個高度h上的球差完全抵消。
消球差鏡頭(3)最簡單的方法是在透鏡前加一個光闌只讓近軸光線通過。
消球差鏡頭(4)齊明透鏡
對於單個折射球面,可以證明,有三個固定物體位置上面可以不產生軸上點球差。這三個位置是:
1.物點位於球面的球心處,即L=r。此時物點發出的所有光線將沿球面的法線方向入射,入射角I=0 。根據折射定律,折射角I’也為0 。光線無偏折的通過球面,像點也將位於球心處,即L’=r,如圖所示。
消球差鏡頭2.物點位於球面頂點,即L=0。此時不論U角如何,所有入射光線射向此點,經折射後也都將經過此點離開,即像點也位於頂點,L’=0,如圖所示。
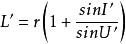
消球差鏡頭3.物點位於L=r處。此時對於任意孔徑角,有I’=U或者I=U’,根據以下公式
消球差鏡頭
消球差鏡頭計算得出,像點將位於L’=r處,與孔徑角無關,如圖所示,
消球差鏡頭上述不產生球差的物點位置,稱為齊明點,結合13的兩個齊明點位置可以構成無球差的齊明透鏡。下圖所示分別為正齊明透鏡和負齊明透鏡:
消球差鏡頭
消球差鏡頭以正齊明透鏡為例,物點位於第一面球心,滿足上述第一種不產生球差的條件,經第一面所成的像相對於第二面又恰好滿足上述第三種不產生球差的條件。物體經過齊明透鏡成像不產生球差,而且由於透鏡的折射作用使出射光束的孔徑角變小,使後續系統的球差校正變得容易。在打孔徑的顯微物鏡設計中常增加一塊這樣的齊明透鏡,既可以滿足整個物鏡系統的大孔徑需要,又有利於相差校正。
