簡介
消偏器也稱退偏器,是將偏振光變成非偏振光的一種偏振器件。 按照消偏的原理可分為單波長消偏器和白光消偏器。對於寬譜光波(白光) ,Loyt消偏器是目前較適用的一種,最早的Loyt消偏器是由厚度為1:2 ,主軸夾角為45°的兩個石英波片串聯而成。 在消偏型光纖陀螺 中的消偏器是 Loyt 光纖消偏器 ,它是 由兩段長度 z :f2 = 1:2 ,折射率主軸相對旋轉45°的保偏光纖熔接而成 ,其工作原理是利用沿保偏光纖的兩雙折射主軸傳輸的光的時延特性,將偏振光的兩種偏振本徵態(x 軸偏振態,Y 軸偏振態 ) 從時間上拉開,從而實現輸入光的消偏 , Z. 至少要大於光源的去相干長度。 這種消偏器的誤差主要是由兩段光纖45°角的對接精度控制。
消偏振原理
消偏器的結構及瓊斯矩陣
消偏振器Loyt光纖消偏器如圖1所示,由兩段長度之比為 折射率主軸相對旋轉的保偏光纖熔接而成。
消偏振器
消偏振器
消偏振器
消偏振器
消偏振器
消偏振器
消偏振器
消偏振器
消偏振器
消偏振器
消偏振器
消偏振器
消偏振器光在消偏器中的傳播如圖2所示,設消偏器在光纖 入口處光波為u(0),它可在 的雙折射快慢軸x、y方向上分解為 ,經光纖 傳輸後為 ,這時 之間有了 的相對延遲,在光纖 的入口處, 再在 的快慢軸x',y'方向上分解為 ,當到達 的末端時,在x',y'方向相對延遲 。
消偏振器圖2直觀地表示各光波分量 空間位置的延遲情況。
Loyt光纖消偏振器結構示意圖
光波在光纖消偏器中的傳播示意圖
消偏振器
消偏振器
消偏振器出於消除偏振的目的,要求輸出口各分量不相干,這就必須使 滿足 。取 即可滿足這個條件,其中乙為光波的相干時間。
當用瓊斯矩陣來描述光路器件的傳輸特性時,有
(1)一段保偏光纖的瓊斯矩陣:
消偏振器其中r、s代表兩個偏振方向,v為光波的主頻率,l為該段光纖的主長度。
(2)兩段光纖主軸的錯位引起的旋轉因子:
消偏振器
消偏振器其中 代表相對旋轉的角度。
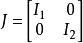
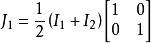
這樣,設輸入偏振光與消偏器連線埠主軸成45“角時,消偏器的瓊斯矩陣可以表示為:
消偏振器
消偏振器由於輸出口各光波分量不相干涉,所以 是互不相關的。
消偏作用分析
任意偏振度的光波可以用相干矩陣表示為
消偏振器
消偏振器
消偏振器其中 代表光波在兩個正交的偏振分量的強度, 。
消偏振器
消偏振器設該光波通過光纖消偏振器後的相干矩陣為 ,則 。
消偏振器上式中D為D的厄密共扼矩陣,<·>指時間平均。由於 互不相關,故有
消偏振器
消偏振器
消偏振器其中 為上述任意相位,但 ,求得
消偏振器
消偏振器可見,從消偏器輸出的光波成為偏振度P=0的完全非偏振光。由於 是符合客觀情況的任意值,故這一結論適用於任何偏振態的光波,從而實現了消除偏振的作用。
套用
消偏光纖陀螺:消偏光纖陀螺 (SM —FO G ) 的光纖環採用的是單模光纖繞制而成,並在單模光纖敏感環的兩端加入Loyt消偏器,使光以完全非偏振形式在敏感環中傳輸,它主要利用了非偏振光在任意兩個正交的偏振方向上不相干,並且能量也在這兩個方向上等量分布的特性,使得 出射光 的主波與耦合波並不發生干涉,這樣減少了由於光纖環內部的耦合、雙折射、以及環境干擾引入的非互易性相位差對輸出光強的影響。這樣的結構可以消除信號消失,抑制偏振誤差和穩定中心波長。
