流動電流的一個重要套用是測量Zeta電勢。
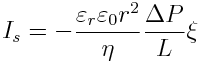
以一個半徑為r, 長度為L的毛細管為例,當毛細管兩端有壓力差ΔP時,毛細管內的溶液在壓力的驅動下流動。這時的電動電流 Is公式如下
流動電流公式
流動電位(streaming potential),也叫流動電勢,是一種電動現象(electrokinetic phenomena)。當電解質溶液在一個帶電荷的絕緣表面流動時,表面的雙電層的自由帶電荷粒子將沿著溶液流動方向運動。這些帶電荷粒子的運動導致下游積累電荷,在上下游之間產生電位差,即流動電位。與此相應,帶電荷粒子的運動產生的電流叫流動電流(streaming current)。
流動電流公式等電位連線(也叫聯結)有以下幾種定義。 《雷電與避雷工程》一書對等電位定義“等電位連線是把建築物內、附近的所有金屬物,如混凝土內的鋼筋、自來水管、煤氣管...
安全規則 要求 網路ZETA電位(Zeta potential)是指剪下面(Shear Plane)的電位,又叫電動電位或電動電勢(ζ-電位或ζ-電勢),是表征膠體分散系穩...
簡介 測量方法 套用靜息電位(Resting Potential,RP)是指細胞膜未受刺激時,存在於細胞膜內外兩側的外正內負的電位差。它是一切生物電產生和變化的基礎。當一對...
極化狀態 形成機理 測定方法(local potential,也稱局部電勢)
Zeta電位儀是華東師範大學與上海中晨數位技術設備有限公司合作在94年推出的新一代測試儀器的改進型,廣泛套用於化妝品、選礦、造紙、醫療衛生、建築材料、超...
簡介 參數 測量方法:電泳法 產品套用: 主要特點詞目:電動電位測定 英文:electrical 釋文:電動電位測定又稱電位測定。
用適當的電極在神經纖維或肌纖維上通直流電時,其膜電位便發生變化,即在通過膜外向的陰極通電時,引起膜電位降低;與此相反,陽極通電時,引起膜電位增高。由於通...
流動電勢也叫流動電位,是一種電動現象(electrokin 與此相應,帶電荷粒子的運動產生的電流叫流動電流(。 流動電流的一個重要套用是測量Zeta電勢。
高壓電位治療儀在醫療器械目錄中歸屬於物理治療設備,是三類醫療器械。遠光瑞康高電位治療儀療法又叫做高電位療法又被稱作高壓靜電療法,是物理治療中最古老的一種...
