簡介
洛朗展開式
洛朗展開式通常稱為函式在z的洛朗展開式,雙邊冪級數為f(z)在z處的洛朗級數,係數c為展開式的洛朗係數。
性質
同一個函式在不同的區域中進行展開時,其展開的級數形式不一樣。也就是說,對於一個解析函式的洛朗展開式,其展開的結果不僅依賴於函式的形式,還依賴於所展開的區域形狀(環形區域的中心和半徑)。
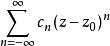
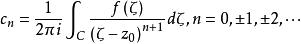
係數計算式
洛朗展開式洛朗展開式的係數計算式為:。
洛朗展開式的係數計算式還可以廣泛套用於閉合環路的積分計算中,從而為留數打下基礎。
求解方法
洛朗定理給出了將一個在圓環域內解析的函式展開成洛朗級數的一般方法,即求出c代入即可,這種方法為直接法。但是當函式複雜時,利用直接法求c往往比較麻煩。間接法是我們常採用的方法,即從已知的基本展開公式出發,利用複數的代數運算、級數的逐項微分、逐項積分運算等求出所給函式在圓環域內的洛朗級數展開式。
