定義
多重極點
多重極點
多重極點
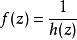
多重極點亞純函式的 極點是一種特殊的奇點,它的表現如同 時 的奇點。這就是說,如果當 z趨於 a時,函式 趨於無窮大,那么 在 z= a處便具有 極點。
多重極點
多重極點假設 U是複平面 C的開子集, a是 U的一個元素, 是一個在定義域內全純的函式。如果存在一個全純函式 和一個非負整數 n,使得對於所有 U− { a}內的 z,都有
多重極點那么 a便稱為f的極點。滿足以上條件的最小整數 n稱為極點的階。一階的極點又稱為簡單極點,零階的極點又稱為可去奇點。當n的值大於1時,a便是f的 多重極點。
從以上的定義,我們可以推出一些特徵:
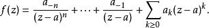
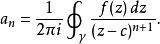
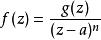
如果 a是 n階極點,則在以上的表達式中必有 g( a) ≠ 0。因此,我們有
多重極點其中 h是在 a的開鄰域內全純的函式,在 a處具有 n階零點。
另外,由於 g是全純函式, f可以表示為:
多重極點這是一個洛朗級數,它的主部分是有限的。全純函式∑ a( z - a)稱為 f的正則部分。因此,點 a是 f的 n階極點,若且唯若 f在 a處的羅朗級數中所有低於− n的次數都為零,而− n次項不為零。
相關性質
•如果函式f的一階導數在a處具有簡單極點,則a是f的一個分支點,但反過來不成立。
•一個既不是極點又不是分支點的非可去奇點稱為本性奇點。
•除了一些孤立奇點外全純的函式,且所有的奇點均為極點,則該函式稱為亞純函式。
洛朗級數
多重極點在數學中,複變函數的洛朗級數,是冪級數的一種,它不僅包含了正數次數的項,也包含了負數次數的項。有時無法把函式表示為泰勒級數,但可以表示為洛朗級數。洛朗級數是由皮埃爾·阿方斯·洛朗在1843年首次發表並以他命名的。
多重極點函式f(z)關於點c的洛朗級數由下式給出:
多重極點
多重極點其中是常數,由以下的曲線積分定義,它是柯西積分公式的推廣:
多重極點
多重極點
多重極點
多重極點
多重極點
多重極點
多重極點
多重極點
多重極點
多重極點積分路徑γ是位於圓環A內的一條逆時針方向的可求長曲線,把c包圍起來,在這個圓環內是全純的(解析的)。的洛朗級數展開式在這個圓環內的任何地方都是正確的。在右邊的圖中,該環用紅色顯示,其內有一合適的積分路徑 。如果我們讓是一個圓 ,其中,這就相當於要計算的限制到上的復傅立葉係數。這些積分不隨輪廓的變形而改變是斯托克斯定理的直接結果。
多重極點
多重極點
多重極點
多重極點在實踐中,上述的積分公式可能不是計算給定的函式係數最實用的方法;相反,人們常常通過拼湊已知的泰勒展開式來求出洛朗級數。因為函式的洛朗展開式只要存在就是唯一的 ,實際上在圓環中任何與相等的,以上述形式表示的給定函式的表達式一定就是的洛朗展開式。

