人物生平
瓦倫汀·洛倫茲出生於丹麥赫爾辛格,在哥本哈根的丹麥技術大學學習。1876年,他成為哥本哈根陸軍軍官學校的教授。從1887年起,他在嘉士伯基金會(Carlsberg Foundation)的支持下進行研究。
主要成就
洛倫茲在科學界最為人所知的主要有兩個成就。
第一個是他研究光在絕緣介質中的的傳播,並提出了著名的lorenz模型,以諧振子為主要模型,解釋電子在光場下的回響。成功解釋了絕緣介質的光學特性。
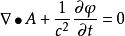
洛倫茲[丹麥物理學家]第二個是著名的洛侖茲規範.這是電磁場理論中很重要的一個公式。
![洛倫茲[丹麥物理學家] 洛倫茲[丹麥物理學家]](/img/2/6c7/nBnauM3X4YDN4kDN1QDO1kTO0UTMyITNykTO0EDMwAjMwUzL0gzLxMzLt92YucmbvRWdo5Cd0FmLzE2LvoDc0RHa.jpg)
