洛倫茨規範(英文:Lorenz Gauge),或稱作 洛倫茨規範條件,是丹麥物理學家路德維希·洛倫茨(Ludvig Lorenz)提出的規範條件。其名稱常被誤寫做Lorentz Gauge,其中Lorentz中文也譯作洛侖茲,是指荷蘭物理學家亨德里克·洛倫茲(Hendrik Lorentz)。發生混淆的原因除了名字相近之外,還由於這種規範具有洛倫茲不變性。
定義
在電磁理論中,洛倫茨規範是處理含時的電磁場中推遲勢的常用手段。
洛倫茨規範這裡 A 是四維勢, 逗號表示對角標做偏導數並使用了愛因斯坦求和約定。這個規範的好處是具有洛倫茲不變性。
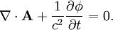
在一般的矢量寫法並採用國際單位制下:
洛倫茨規範這裡 A 是磁矢勢, φ 是電標勢。
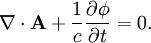
在高斯單位制下:
洛倫茨規範
