理論基礎:
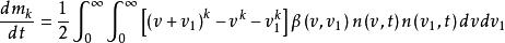
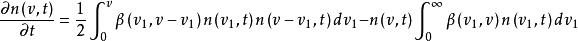
針對顆粒系統內部動力學過程問題的相關研究,其理論基礎為1917年波蘭學者M Smoluchowski提出的群平均場理論[1] ;該理論起始於Einstein和Stokes等人對顆粒擴散問題的研究。考慮不受外源影響的封閉系統,對於顆粒凝並問題,M Smoluchowski給出的相應控制方程(SE),即為:
泰勒展開矩方法(1)
泰勒展開矩方法
泰勒展開矩方法
泰勒展開矩方法
泰勒展開矩方法
泰勒展開矩方法
泰勒展開矩方法其中 為時刻 體積為 的顆粒數濃度, 為體積為 和 兩種顆粒的碰撞頻率。
TEMOM
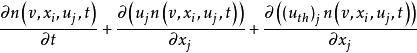
泰勒展開矩方法通過執行泰勒展開逼近技術實現Population Balance Equation(PBE)的降維和封閉處理;在此基礎之上,可以構建新的納米顆粒動力學兩相流計算方法模型。以泰勒展開矩方法為基礎建立的兩相流計算方法,屬於微觀和巨觀尺度之間的介觀尺度描述方法,其以構建基於顆粒數密度函式為求解變數的顆粒一般動力學方程,滿足了對介觀尺度物理變化過程的數學描述。泰勒展開矩方法的實施過程,涉及到針對顆粒系統內部動力學過程以及相間耦合等不同層次的數學模型封閉問題。
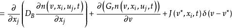
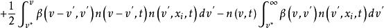
以Smoluchowski群平均場理論為基礎,研究者提出並建立了考慮與流場耦合的聯合機率密度函式PBE方程;即顆粒數密度函式表示為顆粒尺度、位置坐標、時間和速度等的函式,
泰勒展開矩方法
泰勒展開矩方法
泰勒展開矩方法
泰勒展開矩方法(2)
泰勒展開矩方法其中 為顆粒速度。這導致針對不同動力學過程、在不同層次問題上的方程封閉問題。如果該方程與湍流模型耦合,問題將變得更為複雜。
泰勒展開矩方法
泰勒展開矩方法在Stokes-Einstein理論框架內,即使針對形式最為簡單的SE方程,即方程(1),目前仍未有人給出該方程的未加任何假設的解析解。為使得方程(2)在運動論層次用以描述顆粒系統動力學演變過程,目前比較實用的辦法是,把微積分形式的PBE方程轉換成微分形式的矩方程。例如,把SE方程乘以 ,並對 積分,即得各階矩隨時間的變化:
泰勒展開矩方法(3)
其中需要用到定義:
泰勒展開矩方法
泰勒展開矩方法在Stokes-Einstein擴散理論框架內,顆粒間複雜的碰撞係數 會使得方程(3)難以自動封閉。為此,研究者針對方程封閉問題,提出了不同的解決方案,其中包括1997年由美國BROOKHAVEN NATIONAL LABORATORY國家重點實驗的Robert McGraw教授提出的QMOM方法[2] 、Annual Review of Fluid Mechanics 副主編Rodney O. Fox教授等於2005年提出的DQMOM方法[3] 、美國University of California, Berkeley的Michel Frenklach等於1987年提出的MOMIC方法[4] 、美國E. Richard Cohen等於1971年提出、並被韓裔美國學者Kyoo Won Lee發展的log-normal MOM方法[5] 、以及中國學者Jianzhong Lin & Mingzhou Yu提出的TEMOM方法[6 ,7 ]。這些不同方法,均可以基於對聯合密度函式PBE封閉,建立系統的求解納米顆粒動力學問題的兩相流計算方法。
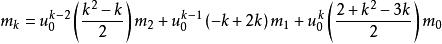
TEMOM方法的核心是,提出採用顯變數構建用以求解任意隱函式的基函式,用以實現PBE方程的降維和封閉處理。最為簡單的TEMOM基函式可以表示為如下形式,
泰勒展開矩方法(4)
泰勒展開矩方法
泰勒展開矩方法其中 為泰勒展開中心點。在TEMOM框架內,可以由前三階矩表征。為實現封閉函式對精度和效率的要求,最近,一種generalized closure function被提出。這一generalized封閉函式,可以根據使用者對精度和效率的考慮,而實現任意調整;相應的基函式為,
泰勒展開矩方法
泰勒展開矩方法其中,封閉函式中的係數,包括,需要通過執行TEMOM中的泰勒級數多項式截斷來獲得。
TEMOM套用舉例
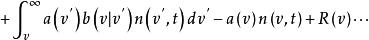
例如,採用TEMOM方法,在自由分子區的顆粒凝並問題可以最終表示為如下簡單形式,
泰勒展開矩方法
泰勒展開矩方法
泰勒展開矩方法(5)
泰勒展開矩方法其中 ,該ODE方程自動封閉,可以在時間尺度上追蹤描述顆粒數濃度、顆粒體積大小以及顆粒分布偏差等信息。基於由TEMOM方法得出的ODE方程,可以方便對氣溶膠系統的大時間尺度漸進問題、self-preserving size distribution theory 等問題進行研究[8] 。例如,基於方程(5),可以容易得到無外源系統氣溶膠漸進解析解[9] ,
泰勒展開矩方法(6)
這一研究使得無需對系統進行數值計算,即可得到氣溶膠系統最後狀態所應滿足的規律方程。Self-Preserving size distribution theory由被尊稱為“Interntional Aerosol Father” 的SK Friendlander教授上世紀60年代提出,截止TEMOM被提出之前,唯一的解析形式研究為Kyoo Won Lee教授的log-normal MOM方法[5] 。log-normal MOM通過假設顆粒分布在時間尺度上滿足對數常態分配假設,進而得以對方程進行封閉,並最終得到PBE解析解。
TEMOM方法可以方便套用於其它顆粒動力學問題的PBE方程的研究,並可用以PBE方程與Navier-Stokes方程耦合的封閉處理。
