定義
在物理學中, 法諾共振(Fano resonance)是一種會產生非對稱線形的散射共振現象。背景和共振散射之間的干涉產生一種非對稱的線形。此現象以義大利裔美國物理學家雨果·法諾(Ugo Fano)為名, 他提出了理論來解釋電子與氦間的非彈性散射的散射線形;但是埃托雷·馬約拉納才是第一個觀測到這種現象的人。 因為這是波的普遍性質,可以在很多物理及工程領域找到相關例子。
歷史
法諾線形的解釋首次出現在電子與氦的非彈性散射與自離子化中,入射電子將氦雙激發至2s2p態,形成某種的形狀共振。雙激發的氦原子射出一個激發電子後自動衰變。法諾證明入射電子的散射振幅與自離子化電子的散射振幅間的干涉,會在自離子化的能量附近形成非對稱的散射線形,峰的寬度與自離子化的半衰期的倒數十分接近。
理論解釋
法諾共振
法諾共振
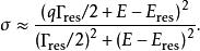
法諾共振法諾共振的線形來自於兩個散射振幅的干涉,一個是連續態的散射(與背景相關),另一個則是離散態的激發(與共振相關)。共振態的能量必須處於連續態(即背景)的能量範圍,此效應才會發生。在共振能量附近,背景散射的振幅隨著能量的變化通常很和緩;但共振散射的振幅的幅度及相位,變化都相當的快,從而導致了非對稱的發生。 在能量離共振能量很遠時,背景散射占主要地位。能量在共振能量左右 的範圍時,共振散射的振幅相位會差 。就是這個相位的劇烈變化造成了非對稱的線形。 法諾證明散射的總截面 約為下述形式,
法諾共振
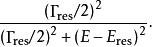
法諾共振其中 為共振能量的峰寬,q則為法諾變數,代表著共振散射及直接(背景)散射之間的振幅比例。如果直接散射的振幅消失,q會變成無窮大,法諾公式就會回到一般的勞侖茲曲線,
法諾共振舉例
法諾共振的例子有很多,在很多領域都能找到,比如原子物理學,核物理學,凝聚態物理,電路,微波工程,非線性光學和納米光子學。

