表示方法
油氣井流入動態表示產量與流壓關係的曲線稱為流入動態曲線( Inflow Performance Relationship) , 簡稱IPR 曲線。
對於單井來講, IPR 曲線表示了油層工作特性。因而, 它既是確定油井工作方式的依據, 也是分析油井動態的基礎。典型的流入動態曲線如圖所示。
由圖可看出,IPR 曲線的基本形狀與油藏驅動類型有關。
主要分類
單相液體的流入動態
井底流動壓力高於原油泡點壓力時, 油藏中流體的流動為單相液流。在單相液流條件下, 油層物性及流體性質基本不隨壓力變化。油井產量與壓力關係可寫成:
油氣井流入動態式中
q———產油量, m / d;
p ———平均地層壓力, MPa;
p———井底流動壓力, MPa;
J———採油指數, m / ( d·MPa )。
採油指數反映了油層性質、流體參數、完井條件及泄油麵積等與產量之間的關係, 其數值等於單位壓差下的油井產量。因而可用Jo 的數值來評價和分析油井的生產能力。一般都用系統試井資料來求得採油指數Jo。只要測得3~5 個穩定工作制度下的產量及其流壓, 便可繪製該井的IPR 曲線。單相流動時的IPR 曲線為直線, 其斜率的負倒數便是採油指數;在縱坐標( 壓力坐標) 軸上的截距即為油層壓力。有了採油指數, 就可以套用上式預測不同流壓下的產量。
油氣兩相滲流時的流入動態
當地層壓力低於原油泡點壓力時, 油藏驅動類型為溶解氣驅, 此時油藏中流體的流動為氣液兩相流。描述氣液兩相流動壓力與產量的關係是由沃格爾( Vogel) 提出的, 其方程如下:
油氣井流入動態式中 q———相應於井底流壓降為零的最大產油量, m / d。
套用沃格爾方程可以在不涉及油藏參數及流體性質資料的情況下繪製油井的IPR 曲線和預測不同流壓下的油井產量, 使用很方便。但是, 必須給出該井的某些測試數據。
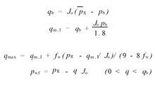
pR > pb > pwf時的流入動態
當油藏壓力p 高於飽和壓力p, 而流動壓力p低於飽和壓力時, 油藏中將同時存在單相和兩相流動。
在p > pb 時, 由於油藏中全部為單相液體流動, 採油指數Jo 為常數, IPR 曲線為直線。此時的流入動態可用下式表示:
油氣井流入動態採油指數可由測試結果求得:
油氣井流入動態式中
q———試井產量;
p———試井時的流動壓力。流壓等於飽和壓力時的產量q為:q = J (p - p )
油氣水三相滲流時的流入動態
以上討論的各種條件下建立IPR 曲線的方法, 都局限於油井不含水的情況。實際上,油井在開採初期可能不含水, 隨著累積採油量的增加, 油井或遲或早要見水, 因此建立油氣水三相滲流時的流入動態是有實際意義的。當考慮油氣水三相滲流時, IPR 曲線計算公式如下:
油氣井流入動態
油氣井流入動態式中 q———純油時最大產量。
建立含水的IPR 曲線所必需的變數是油藏平均壓力珔pR 、飽和壓力pb 、總產量q 與相應的井底流壓pwf 和含水率fw 。下面分兩種情況給出採油指數(在這裡應該說采液指數) Jo 的計算表達式。

