汽車行車速度
正文
汽車在單位時間內駛過的距離,簡稱車速。常用單位是公里/小時或米/秒。汽車行車速度是描述交通流的三個參數之一,在交通流理論的研究中占有重要地位。汽車行車速度也可泛指機動車行車速度。為適應不同用途,汽車行車速度主要有地點車速、路段車速和設計車速之分。地點車速 汽車通過道路某指定地點的瞬時速度。一組地點車速觀測值的算術平均數為平均地點車速。地點車速廣泛套用於交通工程中,是制訂道路設計車速,設定交通控制設施,確定交通管理方法,採取交通改善措施及其經濟分析,探索各型汽車速度發展趨勢,評定道路交通設施、交通管理及改善措施等的交通效果的依據。
地點車速除用平均值表示外,又因其觀測值在平均值上下分散甚寬,還常用其頻率分布特徵進行分析。用測得車速的分組的中間值作橫坐標,分組車速出現的頻率作縱坐標畫成的曲線,叫車速頻率分布曲線(圖1);把出現頻率按車速分組逐組相加所得各級頻率之和(即不大於某一車速的累計頻率)為縱坐標畫成的曲線,叫車速累積頻率分布曲線(圖2)。轎車在緩坡路段上自由行駛時的車速觀測值的頻率分布曲線一般近似於對稱形的常態分配曲線;累積頻率分布曲線近似於 S形曲線。頻率分布曲線頂點的車速,即觀測值中頻率最高的車速,稱為最多車速。累積頻率分布曲線上,相應於縱坐標為i%時的車速,即全數中i%的汽車不致超過的車速,稱為第i百分位車速。累積頻率分布曲線的斜率,一般在第85%位及第15%位附近而突變,表示超過第85%位和小於第15%位車速的汽車比例甚小,所以,一般常以第85%位車速作為制訂設計車速的參考和確定最高限制車速的依據,而用第15%位車速作為確定高速道路最低限制車速的依據。
汽車行車速度
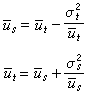
汽車行車速度按取平均值的方法區分,可有兩種平均車速:①指定某地點,在一段時間內,取分布於不同時刻各車車速觀測值的平均值,稱為時間平均車速;②指定某時刻,在一段路程內,取分布於不同地點各車車速的平均值,稱為區間平均車速。時間平均車速ūt就是平均地點車速,它是車流理論中分析車流模型的一個重要參數。區間平均車速ūs同交通密度K、交通量Q之間的關係,即
Q=K ūs
構成車流理論的基礎。區間平均車速和時間平均車速可按下式計算:

設計車速 為確定道路各幾何要素的設計指標並使之相互協調而制定的車速。有些道路幾何要素,如彎道半徑、超高、視距、縱坡等,直接決定於設計車速;另外一些要素,如道路各部分的寬度以及同側向障礙物之間的淨距等,雖不直接決定於設計車速,但它們會影響車輛實際行駛的車速,在設計車速較高的道路上,對這些要素要求採用較高的標準。因此,幾乎是所有的道路幾何要素都同設計車速有關。設計車速是確定道路各類幾何要素的基本車速,確定道路設計車速是道路設計中的重要決策問題之一。
除地點車速、路段車速和設計車速外,具有實際意義的車速還有最佳車速和經濟車速。最佳車速是道路某斷面上交通量最大時的車速,供理論上分析道路通行能力時用。經濟車速是車輛在行駛中消耗燃料最省時的車速,是研究合理消耗交通能源的重要依據之一。
參考書目
索爾特著,張佐周等譯:《道路交通分析與設計》,中國建築工業出版社,北京,1982。

