內容
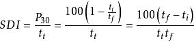
污泥密度指數(SDI)的測試是在207 kPa恆壓下以直流方式(沒有橫向流)對水進行過濾。通常採用0.45μm圓形膜對500 mL水樣進行測試,時間為15 min。SDI可以通過下式進行計算:
污泥密度指數
污泥密度指數式中, 為在0.2MPa即207kPa的進水壓下膜的污染堵塞;
污泥密度指數為總測試時間,單位min,通常15min,如果發生75%的堵塞則少於15min;
污泥密度指數為開始收集500mL試樣所需的時間,單位s;
污泥密度指數為試驗15min後收集500mL試樣所需的試驗時間,單位s。
污泥密度指數為準確測量SDI值, 不應該超過75%,超過要縮短試驗時間,例如10min、5min。
SDI測量思路
污泥密度指數
污泥密度指數
污泥密度指數原料水對膜的污染趨勢有時用經驗性的污泥密度指數SDI(Sludge Density Index)進行估計,這一指數可通過過濾實驗獲得。按ASTM標準,這一實驗(D4185)採用膜孔徑為0.45μm的膜進行測試。SDI指數由一定體積(通常是500ml)的原料水通過乾淨膜的時間( )與同樣體積的原料水通過操作一定時間後的膜的時間( )計算得到。SDI的標準測試條件是先將原料水經過47mm直徑的膜過濾器,然後在0.2MPa下進行測試,總的測試時間( )為900s。
雖然SDI的測量是不絕對的,但它是已發現的測量膠體含量的最好方法。人們已經獲得在滲透器中SDI與膠體沉積速率二者之間的相互關係。另一種測量膠體含量的方法(濁度和顆粒計算)是不令人滿意的。顆粒計算對亞微顆粒範圍不能給予準確的結果。濁度是粒子的尺寸、形狀及濃度的函式。因而,濁度與從一位置到另一位置的膠體污堵之間沒有相關性存在。
SDI測量裝置
測量SDI的裝置如圖所示:
SDI測量裝置SDI測量步驟:
測量SDI的具體步驟如下:
①裝置的組合如上圖所示,調節壓力調節閥在207kPa(30psi)。
②安裝微孔過濾器,為了除去設備攜帶的污物,應該用水沖刷檢驗。
③測量水溫。
④打開膜過濾罐,在罐的支撐板上放置0.45μm的微孔濾元(直徑47mm)。只能用潔淨的鑷子拿膜濾元,以免其被戳穿,避免手指接觸濾膜。
⑤查明O形密封圈處於良好情況並適當放置,把過濾罐的上頂部放回原處,並緩緩合上。
⑥用分離球閥放出內部的空氣,關閉閥門,並蓋緊過濾罐。
污泥密度指數⑦打開球閥,同時用秒表開始測量500mL的流量所需時間,記錄時間( ),讓門開著以便於連續的流動。
⑧測量和記錄收集500mL水的時間,之後,5min、10min、15min總流量的時間。注意:整個測量的壓力必須維持在(207±7)kPa。
⑨測量水溫。注意:整個測量的溫度必須是不變的(±1℃)。
⑩測量完成後,為將來參考用,必須保留膜濾元。計算SDI值。
SDI指標的優缺點
優點
污泥密度指數(SDI)是測定反滲透系統進水的重要指標之一,也是檢驗預處理系統出水是否達到反滲透進水要求的主要手段。它的大小對反滲透系統運行壽命至關重要,它表征了水中顆粒、膠體和其他能阻塞各種水純化設備的物體含量,通過測定SDI值,可以選定相應的水純化技術或設備。不同的膜組件要求進水的SDI值不同,中空纖維膜組件一般要求SDI值在3左右,卷式組件一般要求SDI值在5左右。
井水SDI通常大約是1.0,並且不需要任何用於去除膠體污堵的預處理。如果井水的SDI超過1.0,可能的原因是:地表水侵入淺井;鐵腐蝕產物存在;生物污染的存在;膠體磺化的存在。地表水(湖、河流或水庫)含有大量的膠體物質,並且SDI值在10~175範圍。
缺點
SDI作為原料水預處理的指標是非常有用的,但對於膜設計和控制來說還不能提供足夠的信息。這種測試的局限性在於不能反映進料水中的污染物與膜之間的相互作用,而這種相互作用在實際操作中是確實存在的。同時,測試單元的截留特徵和流通機理與實際過程中的膜組件是不相同的。因此,實驗研究和深入了解控制物質傳遞及滲透通量下降的機理對於給定進料水的處理非常有必要。

