影響因素
水系密度大小是由岩石和土壤的成分、結構、含水性及地形決定的。
分類
密度大
地表徑流特別發育,形成密集的一、二級沖溝(間隔小於100米),沖溝短而淺。反映地勢比較平緩,岩石和土壤結構緻密,透水性不好,質地軟弱,易被流水侵蝕。大片泥岩、板岩、粉砂岩、易碎片岩發育的地區,容易形成密集的水系。
密度小
地表徑流不發育(間隔大於500米),小沖溝很少,溝谷長而稀疏。反映地表坡度均一,岩石堅硬,裂隙發育,透水性好。大面積出露的砂岩及鬆散堆積物地區多為稀疏水系。
密度中等
介於上述二者之間(間隔為100-500米),地表徑流比較發育,地面有一定的坡度。反映岩石透水性較差、抗侵蝕能力中等。
作用
在遙感圖象上對水系密度進行定量統計,可以為地質解譯提供更為可靠的依據。統計時,可以測量規定範圍內各級水道(主要是1,2,3級)出現的條數;也可以測量單位面積內各級水道的總長度。
計算方法
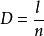
水系的密度是流域盆地地形要素的重要指標之一。早在1894年人們就試圖確定一個指標表示水系密度,當時A.penk把水系密度D看作主流長度 l 與匯入主流的支流數目n之比:
水系密度水系密度D由測量部分的平均長度得出,n越小,D越大。
L.Neumann(1900)提出把水系密度定義為流域長度和面積之比,按照Neurnann的觀點,水系密度的不同,是由下層土的類型、坡度、植被和降雨的變化而引起的,這些因素起著重要的作用。
Horton(1932)指出,隨著降雨量的提高,水系密度加大;隨著滲透性加大,流域水系密度降低。
Feldner(1903)提出水系密度可用流域面積與河間地數目之比表示,此比值說明流域面積與河間地的關係,即流域面積越小,密度越大,反之亦然。
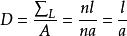
Chebotarev(1953)提出:流域密度可用平均河長L和相鄰面積a的平均之比;若面積A的流域有n條河流或河段,總長度為Σ,則l=Σ/n和a=A/n,或Σ=nl和A=na,那么水系密度方程表示為:
水系密度這就是如今普遍套用的表示水系密度的指標,即單位面積內水道總長度。它也是流域系統中地形要素的重要指標之一。
為了獲得更準確的水系密度的信息,除了有可信的大比尺地形圖或航片上水系圖外,還必須考慮水系滿足徑流函式的時間的重要性。因此,有的是常年都有徑流的水系,有的是季節性的,有的則是間歇性的水系,考慮所有的這些情況,就可以獲得準確的水系密度,為了建立水系密度與產沙間的關係,在黃土高原我們計算了包括上述所有類型的水系密度。即從沖溝到合理地所有水系。

