簡介
氦核作用(或 α作用、α反應)是兩種核聚變的類型之一,能將恆星的氦轉換成重元素,另一種即是3氦過程(3α反應)。
氦核作用(或 α作用、α反應)是兩種核聚變的類型之一,能將恆星的氦轉換成重元素,另一種即是3氦過程(3α反應)。 當3氦反應進行時只需要氦的參與,而一旦有一些碳產生,能消耗氦的其他反應也會發生:
氦核作用
氦核作用
氦核作用
氦核作用
氦核作用
氦核作用
氦核作用
氦核作用
氦核作用
氦核作用
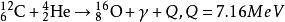
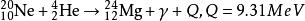
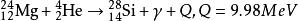
氦核作用反應的過程是:
氦-4 → 鈹-8 → 碳-12 → 氧-16 → 氖-20 → 鎂-24 → 矽–28 → 硫–32 → 氬–36 → 鈣–40 → 鈦–44 → 鉻–48 → 鐵–52 → 鎳–56
其中從氦-4開始到矽-28的反應過程叫氦聚變,從矽-28開始至鎳-56的反應過程叫矽燃燒過程。所有這些反應在恆星內部發生的比率都不高,因此對於能量的貢獻並不大;比氖(原子量> 10)重的元素,由於庫侖障壁的增加,因此不太容易產生。
所謂的 α作用元素(或 α元素)是質量為氦核(α粒子)整數倍的同位素,它們的豐度是最高的。
α元素的原子序數≤ 28:He、Be、C、O、Ne、Mg、Si、S、Ar、Ca、Ti、Cr、Fe、Ni。它們在II型超新星的矽融合過程中經由α捕獲而形成,鎳-56是大質量恆星以核聚變能產生的最後一種元素。
矽和鈣是純粹的α作用元素,鎂可以由氫核捕獲的燃燒過程中產生。至於氧,有些人認為是α作用元素,但也有人認為不是,在金屬量低的第二星族星中,氧確實是α作用元素;其他的在第二型超新星中產生的α作用元素,它們增加的質量都和氦的質量有很好的關聯性。有時候碳和氮也會被視為α作用元素,因為它們是經由α捕獲所形成的元素。
在恆星內的α作用元素豐度通常都以對數的形式來表達:
氦核作用
氦核作用
氦核作用此處和分別是每單位體積內α作用元素和鐵原子的數量。理論的星系演化模型預測在宇宙的早期,相對於鐵有更多的α作用元素。第二型超新星主要合成的元素是氧和α作用元素(氖、鎂、矽、硫、氬、鈣和鈦),而Ia超新星在鐵峰頂產生元素(V、Cr、Mn、Fe、Co和Ni)。
3氦過程
3氦過程是3個氦原子核(α粒子)轉換成碳原子核的過程。
這種核聚變反應可以在超過一億K的高溫和氦含量豐富的恆星內部迅速的發生。同樣的,它發生在較老年,經由質子-質子鏈反應和碳氮氧循環產生的氦,累積在核心的恆星。在核心的氫已經燃燒完後,核心將塌縮,直到溫度達到氦燃燒的燃點。
核聚變
核聚變,又稱 核融合、 融合反應或 聚變反應,是指將兩個較輕的核結合而形成一個較重的核和一個很輕的核(或粒子)的一種核反應形式。在此過程中,物質沒有守恆,因為有一部分正在聚變的原子核的物質被轉化為光子(能量)。核聚變是給活躍的或“主序的”恆星提供能量的過程。
兩個較輕的核在融合過程中產生質量虧損而釋放出巨大的能量,兩個輕核在發生聚變時雖然因它們都帶正電荷而彼此排斥,然而兩個能量足夠高的核迎面相遇,它們就能相當緊密地聚集在一起,以致核力能夠克服庫侖斥力而發生核反應,這個反應叫做 核聚變。
舉例:兩個質量小的原子,比方說兩個氚,在一定條件下(如超高溫和高壓),會發生原子核互相聚合作用,生成中子和氦-4,並伴隨著巨大的能量釋放。
原子核中蘊藏巨大的能量。根據質能方程E=mc,原子核之淨質量變化(反應物與生成物之質量差)造成能量的釋放。如果是由重的原子核變化為輕的原子核,稱為核裂變,如核子彈爆炸;如果是由較輕的原子核變化為較重的原子核,稱為核聚變。一般來說,這種核反應會終止於鐵,因為其原子核最為穩定。
最早的人工核聚變技術是氫彈,同時在20世紀50年代,人類開始認真地研究發展用於民用目的的受控熱核聚變,並一直持續到今天。在經過60年從以前的實驗中做出設計改進之後,採用雷射約束的國家點火裝置(NIF)和採用磁約束的國際熱核聚變實驗反應堆(ITER)這兩個主要項目的目標為在反應中產生的能量超過點燃反應所需要的能量。ITER還計畫實現聚變“自持”。
