滯止參數
由於滯止參數是人為引入的參考參數,其定義與所研究的實際流動過程無關。但滯止參數可以是流場中實際存在的參數,如飛行器飛行時駐點處的參數和高壓容器中氣體的參數、高速風洞前的儲氣罐中的氣體參數等。
滯止焓和溫度
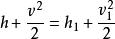
根據一維定常絕能流動的能量方程
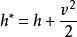
氣流滯止由上式可見,在絕能流動中,當速度減小時,焓將會增加。如果把氣流由速度 V,絕能地滯止到零( V=0),此時所對應的焓值(h)就稱為滯止焓,用h*表示,則
氣流滯止此式只要求絕能,不要求等熵,因此上式既可適用於可逆過程也適用於不可逆過程。滯止焓也稱為氣流的總焓。上式中的h稱為靜焓,靜焓與氣流動能之和,代表氣流所具有的總能量的大小(即總焓)。
對於完全氣體, h=cT,則有
氣流滯止式中,T*稱為氣流的滯止溫度或稱總溫,它是把氣流速度絕能滯止到零時的溫度,它也反映氣流總能量的大小;而T稱為靜溫。
滯止壓強密度
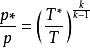
將氣流速度絕能等熵地滯止到零時的壓強和密度就稱為滯止壓強和滯止密度,分別用p*和a*表示。對於完全氣體,由等熵關係式得
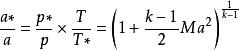
氣流滯止由完全氣體的狀態方程式可以得到滯止密度a*、靜密度a和Ma之間的關係
氣流滯止如果給定了流場中任一點的氣流滯止溫度T*、滯止壓強p*、滯止密度a*和Ma,那么就可分別算出該點的氣流溫度T、壓強p、密度a,並進一步計算出速度v。反之,也可以通過某點氣流的靜參數確定其總參數。
在氣體動力學中引進滯止狀態是個參考狀態,它是假想地把一點處的氣流絕能等熵地流人一個無限大的儲氣箱內,使其速度滯止到零時的箱內氣體狀態,在流場內每一點都有一個當地的滯止狀態,因此,在流動過程中的每一點都有確定的滯止參數的數值,即滯止參數是點函式。在實際流動中,氣體與外界有能量交換和粘性耗散時,流場中各點的滯止參數是變化的。

