介紹
比熱容比指的是定壓比熱Cp與定容比熱Cv之比,通常用符號γ表示,即γ=Cp/Cv,是描述氣體熱力學性質的一個重要參數。
詳細內容
根據分子運動理論,γ的理論值為(n+2)/n,n為氣體分子微觀運動自由度的數目。當原子氣體分子只有三個平移運動自由度,即n=3,故γ=5/3。氬、氦等單原子氣體的γ實驗值(1.66)與此非常接近。在不太高的溫度下,雙原子氣體分子除有三個平動自由度外,還有兩個轉動自由度,即運動自由度n=5,所以γ=7/5。工程上常見的雙原子氣體,如氧、氮等分子在很寬的溫度範圍內的γ值也很接近此值。準確的實驗值隨溫度的上升而略有下降。對於三原子氣體,分子運動的自由度至少有六個,故γ=4/3或更小些,如二氧化碳(CO)的γ值等於1.30。
在空氣動力學中,空氣的γ值常取為1.40,噴氣發動機中的燃後氣體的γ值常取為1.33,火箭發動機中的燃後氣體的γ值則常取為1.25。
絕熱指數
理想氣體可逆絕熱過程的指數稱為絕熱指數,用K表示,所以理想氣體比熱比等於絕熱指數。
若流體工質在狀態變化的某一過程中不與外界發生熱交換,則該過程就稱為絕熱過程。用節流孔板測量氣體流量時,流體流過節流孔板時發生的狀態變化,可近似地認為是一絕熱過程。為了在測量中能求出氣體膨脹係數,就需要知道表征被測氣體為絕熱過程的絕熱指數。若該氣體可認為是理想氣體,則其絕熱指數K就是定壓比熱容與定容比熱容之比,即K=Cp/Cv。
對於實際氣體來說,絕熱指數與氣體的種類、所受壓力、溫度有關。一般地說,單原子氣體的絕熱指數K為1.66,雙原子氣體的絕熱指數K為1.41。
常見氣體的絕熱係數 測定
絕熱膨脹法測量空氣的比熱容比
(1)實驗原理:
過程圖如下:
過程圖 I→II是絕熱過程,由絕熱過程方程得
比熱容比 狀態I和狀態III的溫度均為T,由氣體狀態方程得
比熱容比 合併式兩式,消去V1、V2得
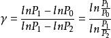
比熱容比 由上式可以看出,只要測得P、P、P就可求得空氣的絕熱指數γ,即得到比熱容比。
(2)實驗儀器
絕熱膨脹法實驗儀器 (3)實驗步驟
1、關閉放氣閥A,打開充氣閥B,用充氣球向瓶內打氣,使三位半數字電壓表示值升高到100mV~150mV。然後關閉充氣閥B,觀察、的變化,經歷一段時間後,指示值不變時,記下Po,此時瓶內氣體近似為狀態I。
2、打開放氣閥。用氣壓計測定大氣壓強,用水銀溫度計測環境室溫。開啟電源,讓電子儀器部件預熱20分鐘,然後旋轉調零電位器旋鈕,把用於測量空氣壓強的三位半數字電壓表指示值調到“0”,並記錄此時四位半數字電壓表指示值。
3、迅速打開放氣閥A,使瓶內氣體與大氣相通,由於瓶內氣壓高於大氣壓,瓶內∆V體積的氣體將突然噴出,發出“嗤”的聲音。當瓶內空氣壓強降至環境大氣壓強時(放氣聲剛結束),立刻關閉放氣閥A,這時瓶內氣體溫度降低,狀態變為II。
4、當瓶內空氣的溫度上升至溫度T時,且壓強穩定後,記下P2,此時瓶內氣體近似為狀態III。
5、記錄室內大氣壓,根據P0、P1、P2,可以求出比熱容比。
(4)注意事項
1、實驗中貯氣玻璃瓶及各儀器應放於合適位置,最好不要將貯氣玻璃瓶放於靠桌沿處,以免打破。
2、轉動充氣閥和放氣閥的活塞時,一定要一手扶住活塞,另一隻手轉動活塞,避免損壞活塞。
3、實驗前應檢查系統是否漏氣,方法是關閉放氣閥A,打開充氣閥B,用充氣球向瓶內打氣,使瓶內壓強升高1000Pa~2000Pa左右(對應電壓值為20mV~40mV),關閉充氣閥B,觀察壓強是否穩定,若始終下降則說明系統有漏氣之處,須找出原因。
4、做好本實驗的關鍵是放氣要進行的十分迅速。即打開放氣閥後又關上放氣閥的動作要快捷,使瓶內氣體與大氣相通要充分且儘量快底完成。注意記錄電壓值。
振動法測定空氣的比熱容比
(1)實驗原理
實驗是通過測定小球在儲氣瓶玻璃管中的振動周期來測定空氣的比熱容比。
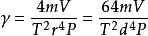
比熱容比 式中d為小球的直徑,P為大氣壓強,T為室溫,V為體積,m為小球的質量。
(2)實驗儀器
振動法實驗儀器 (3)實驗步驟
1.儀器調整
將氣泵、儲氣瓶用橡皮管連線好,裝有鋼球的玻璃管插進球形儲氣瓶。將光電接收裝置利用方形連線塊固定在立桿上,固定位置於空芯玻璃管的小孔附近。 調節底板上三個水平調節螺釘,使底板處於水平狀態。 接通氣泵電源,緩慢調節氣泵上的調節旋鈕,數分鐘後,待儲氣瓶內注入一定壓力的氣體後,玻璃管中的鋼球離開彈簧,向管子上方移動,此時應調節好進氣的大小,使鋼球在玻璃管中以小孔為中心上下振動。
2、實驗測量
設定:接通計時儀器的電源及光電接收裝置與計時儀器的連線。打開計時儀器,預置測量次數為50次。(如需設定其它次數,可按“置數”鍵後,再按“上調”或“下調”鍵,調至所需次數,再按“置數”鍵確定。本實驗按預置測量次數進行,不需要另外置數。)
測量:按“執行”鍵,即開始計數(狀態顯示燈閃爍)。待狀態顯示燈停止閃爍,顯示屏顯示的數字為振動50次所需的時間。重複測量5次。
其它測量
用螺旋測微計測出鋼球的直徑d,重複測量5次。
用物理天平稱出鋼球的質量m,左右盤各稱一次。
3.記錄室溫和大氣壓和容器的體積;
根據公式求出空氣的比熱容比;
估算測量的不確定度。
(4)注意事項
若鋼球不作簡諧振動,可以調節氣泵上面的氣流調節閥門,直到鋼球在玻璃管上小孔附近作穩定的諧振動。
接通電源後若不計時或不停止計時,可能是光電門位置放置不正確,造成鋼球上下振動時未擋光,或者是外界光線過強,須適當擋光。
本實驗裝置主要系玻璃製成,且對玻璃管的要求特別高,振動鋼球的直徑僅比玻璃管內徑小0.01mm左右,因此鋼球表面不允許擦傷,在測量鋼球質量和直徑是要注意輕拿輕放,還要防止鋼球表面粘上灰塵。
