
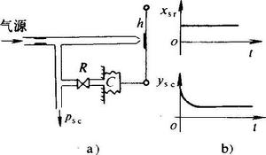
比例微分調節器兼有比例和微分兩種控制作用。它既能反映輸入偏差信號的變化速度,也就是及時反被控量的變化趨勢,給予超前的控制作用;又能反映輸入偏差值的大小,克服被控量處於爬行變化狀態的影響。應結合調節系統的要求調整比例帶PB和微分時間Td。圖a)示出位移平衡式氣動比例微分調節器。比例微調節器的單位過渡函式如圖b)。

氣動比例微分調節器和單位過渡函式


比例積分微分動作又稱比例積分微分調節器和PID作用。調節器輸出信號Ysc與輸入偏差信號xsr、輸入偏差信號xsr對時間的積分和輸入偏差信號xsr的導數之...
微分調節器(derivative controller)簡稱D調節器,它根據輸入信號的變化速度來改變輸出信號的大小。微分調節器是DDZ-Ⅱ型系列儀表調節...
背景來源 原理結構 套用領域 特點Differentiation.比例-積分-微分控制器),由比例單元 P...是組合使用。如比例(P)控制、比例-積分(PI)控制、比例-積分-微分...避免使用。比例微分(PD)控制比例積分控制對於時間滯後的被控對象使用不夠...
基本概況 反饋迴路 理論 控制規律 調試方法表示。微分時間為微分動作所產生的輸出(操作量)與比例動作產生的輸出(操作...、積分動作、微分動作的組合。 用比例動作可得到沒有振盪的穩定控制結果.../ON)動作。控制簡單,缺點是產生振盪。● 比例動作(P動作...
簡介 功能Differentiation,比例積分微分,它是一個專業術語,可見於數學、物理...工程實際中,套用最為廣泛的調節器控制規律為比例、積分、微分控制,簡稱PID...、 積分、微分計算出控制量進行控制的。比例(P)控制比例控制是一種最簡單的控制...
名稱 相關解說 計算機 PID同步控制套用方案 檢測器含義PID控制器由比例單元(P)、積分單元(I)和微分單元(D)組成...)+TD*s]其中kp為比例係數;TI為積分時間常數;TD為微分時間常數...PID控制器就是根據系統的誤差,利用比例、積分、微分計算出控制量進行控制...
含義 用途 意義 系統分類 調節方法控制器就是根據系統的誤差,利用比例、積分、微分計算出控制量進行控制...比例、積分、微分控制,簡稱PID控制,又稱PID調節。PID控制器問世...系統的誤差,利用比例、積分、微分計算出控制量進行控制的。 階躍回響階躍響...
簡介 原理 原理 調試步驟工程控制和數學物理方面:PID(比例積分微分)英文全稱為...控制規律為比例、積分、微分控制,簡稱PID控制,又稱PID調節。PID...控制器就是根據系統的誤差,利用比例、 積分、微分計算出控制量進行控制...
