概述
正相關(Positive correlation),是指兩個
變數變動方向相同,一個變數由大到小或由小到大變化時,另一個變數亦由大到小或由小到大變化。即其數據
曲線的切線斜率始終大於零。如身高與體重,身高越長,體重就越重。也就是說,在正相關的情況下,一個變數隨著另一個變數的變化而發生相同方向的變化(兩個變數同時變大或變小)。其中,引起變化的量叫做
自變數(即自己發生變化的量),另一個變數叫做
因變數(即跟著自變數變化的量)。
統計學中常用相關係數r來表示兩變數之間的相關關係。r的值介於-1與1之間,r為正時是正相關,反映當x增加(減少)時,y隨之相應增加(減少);呈正相關的兩個變數之間的相關係數一定為
正值,這個正值越大說明正相關的程度越高。當這個正值為1時就是完全正相關的情形,如點子排為一條直線,為完全正相關。正相關雖然意思明確,其實是個模糊的概念,不可以量化,只是定性說法。如果有明確的關係,例如y=2x,這叫y與x成正比,如果只是大體上,x、y的變化方向一樣,例如x上升,y也上升或者x下降,y也下降,那么,這叫正相關。反之,x上升,y卻下降,或者x下降,y卻上升,就叫
負相關了。
正相關與正比的辨析
正比的概念
正比是指自變數每發生一個單位的變化,因變數也會發生固定單位的同向變化。如:1.人體內的脂肪含量與年齡之間的關係。在一定年齡段內,隨著年齡的增長,人體內的脂肪含量會增加,但人體內的脂肪含量還與飲食習慣、體育鍛鍊有關,可能還與個人先天體質有關。2.商品銷
正相關舉例
兩個變數的線性相關
在一次對人體內脂肪含量與年齡關係的研究中,研究人員的出了一組樣本數據:
| 年齡 | 23 | 27 | 39 | 41 | 45 | 49 | 50 | 53 | 54 | 56 | 57 | 58 | 60 | 61 |
| 脂肪含量 | 9.5 | 17.8 | 21.2 | 25.9 | 27.5 | 26.3 | 28.2 | 29.6 | 30.2 | 31.4 | 30.8 | 33.5 | 35.2 | 34.6 |
下面便要做出散點圖(而不是函式圖象),因為從表中可以看到年齡為57的,脂肪含量並沒有增大。
對與表中數據,我們假設人的年齡影響體內脂肪含量,於是,按照習慣,以x軸表示年齡,以y軸表示脂肪含量,得到散點圖:
如果散點圖中的分布從整體上看大致有在一條
直線附近,就稱這兩個變數之間具有
線性相關關係,這條直線叫做回歸直線。
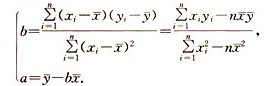
附:回歸直線的算法:
正相關
正相關常見數學上的正相關函式
y=kx+b(k>0)
y=x^a(x>0,a>0)
y=a^x(a>1)
y=log(a)X (其中a>1,x>0 )具體可參考對數函式。
