基本概念
引用線段相等及角相等的概念,能夠區分三角形及多角形的一些特殊類型。
有兩邊相等的三角形叫做等腰三角形,相等的兩邊叫做腰,第三邊叫做等腰三角形的底。
三邊都等的三角形叫做等邊三角形。
凸多角形,若它的所有邊都等,且所有角都等,則叫做 正多角形。
同樣,局部凸的星形多角形,若它的所有邊都等且所有角都等,則叫做 正星形多角形,正五角星形可以作為一個例子。
正多角形的概念可作如下的推廣。
邊數為偶數的凸多角形,假若其中相間的邊相等且所有角都等,則叫做 等角半正多角形(圖1所示的六角形就是一個例子)。
邊數為偶數的局部凸的星形多角形,若其中相問的邊相等且所有角都等,則叫做 等角半正星形多角形(例如圖2的八角形)。
同樣,凸的或星形的等邊半正多角形,可以被定義如下:頂點數必須是偶數,所有邊都等,相間的角相等;這時若是星形多角形還要假定它是局部凸的(例如,圖3的六角形、圖4的十角形) 。
圖1 | 圖2 |
圖3 | 圖4 |
正多邊形
由正折線所構成的多邊形叫做正多邊形。正多邊形的所有邊相等,所有角相等。正多邊形是凸的叫做 凸正多邊形;如果是局部凸的,則稱 正星形多角形。
例如,圖5的多邊形是凸正五邊形;圖6的也是正五邊形,但不是凸的,而是局部凸的,叫做 正五角星形。
圖5 凸正五邊形 | 圖6 正五角星形 |
相關性質定理
凸多角形
凹多角形N角(邊)形中除了一個頂點和其相鄰的2個頂點以外,還有(n-3)個頂點。因此n角形共有n×(n-3) 條線。而其中,對角線的條數為1/2n(n-3)。
由多角形一個頂點引出的兩條邊組成的在內部的角,叫作這個多角形的內角。由一邊和其相鄰的邊的延長線組成的角叫作外角。
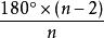
內角與外角N角形中,由一個頂點出發,被(n-3)條對角線劃分出來的三角形個數是(n-2)個。那么可以得出n角形的內角和是180°×(n-2)。
N角形的外角和可以按照如下方法求。各頂點的內角+外角=180°,因此內角的和+外角的和=180°×n,也就是180°×(n-2)+外角的和=180°×n。因此可以得出n角形的外角和是360°。
在凹多角形中,凹陷部分的頂點也有內角+外角= 180°的性質。因為內角比180°大,所以外角的度數為負。因此包含負值的外角和也是360° 。
正多角形所有內角大小相等,所以它們的內角與外角大小如下面的等式所示。
正星形多角形(正n角形的一個內角) =;
正星形多角形(正n角形的一個外角)=。
定理1 任意(凸的或星形的)正多角形或等角半正多角形可有一外接圓。
圖7證明假設A,B,C,D是所研究的多角形的四個相連續的頂點( 圖7),O為三角形ABC的外接圓心。
三角形ABC與DCB相等(AB = DC,BC = CB,∠ABC=∠DCB),因而三角形ABC的外接圓半徑OA = OB = OC,與三角形DCB的外接圓半徑相等。其次,二外接圓的圓心都線上段BC的垂直平分線上。最後,二圓心在直線BC的同側,因為A和D二點在該直線的同側(由於凸的或局部凸的多角形)。由此推得,圓周ABC與BCD的圓心重合。
可見通過三頂點A,B,C的圓周必通過點D,按照同樣的考察方法可知該圓周也通過其餘的頂點。
定理2 任意(凸的或星形的)正多角形或等邊半正多角形可有一內切圓。
證明假設AB,BC,CD和DE(圖8)為一正多角形或等邊半正多角形相連續的四邊,K為直線AB和CD的交點,L為直線BC和DE的交點(如果相間而取的二邊,如AB與CD平行,則邊BC與DE亦將平行(因為這個多角形相間而取的角應相等),點E與點A重合,我們便得一個菱形,對它來說,這定理也是正確的)。
圖8三角形BCK和DCL相等(BC = DC,∠KBC =∠LDC,∠KCB =∠LCD),所以三角形BCK的邊BC外的旁切圓半徑等於三角形DCL的對應的旁切圓半徑,因為該二圓心在∠BCD的平分線CX上,所以該二圓心重合,因而兩圓周重合。
這樣就得到了與射線BA,DE以及與邊BC,CD相切的圓周,對於BC,CD,DE各邊以及次一邊EF重複同樣的論述時,我們相信,該圓周與邊DE及射線EF相切,等。
定理1及2系1正多角形的外接圓心及內切圓心重合。
事實上,在這種情形下三角形OAB,OBC及OCD相等,因而外接圓心到各邊的距離相等。
系2等角半正多角形,相間而取的邊與同一圓周相切,這樣就得到兩個圓周,它們的圓心與外接圓心重合。
事實上,在圖7上,三角形OAB與OCD相等,所以相間而取的邊到外接圓心的距離相等。
系3等邊半正多角形,相間而取的頂點在同一圓周上,這樣就得到兩個圓周,它們的圓心與內切圓心重合。
事實上,在圖8上有OA=OC=OE,OB=OD。

圖1
圖2
圖3
圖4
圖5 凸正五邊形
圖6 正五角星形 