簡介
正五胞體(5-cell),又作正四面體錐(hyperpyramid),4-單形(4-simplex),是。
其施萊夫利符號是{3,3,3},頂點圖(Vertex figure)是正四面體,在正五胞體中每條棱上有三個正四面體
一般而言,它是正四面體的四維類比
三維投影
正四面體當我們看一個三維的物體的時候,我們看見的是它的二維投影。同樣的道理, 當四維生物看一個四維的物體的時候,它的眼中也會呈現一個三維的投影。不妨用我們的三維世界作為四維生物的“眼睛”,去表示一個多胞形的投影吧!
正四面體投影
我們都知道,在外面作一個正三角形,中心做一點向外面連線,就得到一個正四面體的投影,如右圖,這也是當我們的眼睛正對著正四面體的一個頂點的時候看到的樣子。
正五胞體投影
施萊格爾正投影現在,我們繼續類比,把正四面體的投影類比到正五胞體的三維投影上來: 首先在外面做一個正四面體框架,然後找到它的幾何中心定一個點,再將這個點向“外面”的四個點連上線,如右下圖。
但看到這個圖你可能不理解這是個什麼東西,實際上這只是一個三維的投影(圖片嘛,又要把這個三維投影再投影到二維上),正五胞體在我們這個三維世界上是不存在的,但是我們仍然可以去理解,理解四維空間的種種奇特之處。
右圖確確實實是表現了正五胞體的三維投影,但實際上它不是平行投影來的,這種投影叫“施萊格爾投影”,是在它的外接球(四維的是外接一個“超球”)上取一點作的透視投影——這個施萊格爾投影的“內部”的那一點看上去比外面四個點明顯要小一些。
球極投影的方法算上“最外部”的那個四面體,正五胞體一共由五個正四面體組成,也就是有五個“胞”(cell,指組成高維多胞形的三維表面)(有 點廢話呵呵)之後我們就得到正五胞體的一些數據
胞(正四面體)數:5,面(正三角形)數:10,棱數:10,頂點數:5
球極投影
將一個多面體的表面不斷膨脹,可以讓它的所有表面變成球面。變成一個球後再將球面投影到無窮大的平面上,這就是二維球極投影(如圖)
球極投影同樣,四維的物體也可以通過球極投影把它的三維表面展現在三維上 。將正五胞體的三維表面不斷向它的外部膨脹變成“超球”,再把超球的表面投影進平坦的三維空間。
右圖就是正五胞體的三維球極投影,和施萊格爾投影一樣,投影中心的那個點實際上比外面四個點要小一點。
二維線架正投影
二維線架正投影四維的正五胞體可以不經過三維而直接投影到二維上,但只能表現一些點與線之間的連線關係,如下圖 。
實話說這個投影是怎么寫入五個點的坐標投影得到的,不過這不重要,作為四維單形的正五胞體就是這么“簡單”,作一個正五邊形,每兩點兩兩連線,這就是它的二維線架正投影(沒錯,是正的)
一個四維物體的二維正投影其實不止一種的,不同的投影用來抽象表現這個東西不同的特性,正五胞體的二維投影英文維基上有很多,但為了表現那些特性,或多或少都有幾條線段重合,這裡略去
二胞角
多面體上有二面角,那多胞體自然有二胞角,所謂二胞角,就是兩個立體的夾角——這個在四維幾何學上經常用到。
對於的二胞角的求導是要用到四維解析幾何慢慢求的,太麻煩,不妨就用類比法去求:
二維正單形是正三角形,它的“二邊角”(也就是夾角)是60°,用反三角函式表示就是arccos1/2
三維正單形是正四面體,它的二面角約是70.53°,用反三角函式表示就是arccos1/3
那么作為四維正單形的正五胞體,它的二胞角用反三角函式表示就應該是arccos1/4,按按計算器就知道,arccos1/4≈75.52°
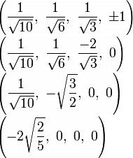
坐標
坐標正五胞體五個點的其中一種表示形式,不過這個就坐標來看,這個正五胞體的外接超球的半徑卻不是1——當然根據這個五個坐標重新寫一個外接超球為1的十分容易。
截圖摘自英文維基百科
向更高維類比——正單形(Simplex)
點、線段、正三角形、正四面體、正五胞體……用這種方法一直類比下去,得到的所有東西集合在一起,就是正單形。
單形的介紹
單形(Simplex),英文又作Simplexes或Simplices,看上去是Simple和Complex的混合,字面意思大概是簡單的複雜(Simplicial Complex,*.*),說白點就是複雜空間(高維空間)的簡單的東東——可以說,一個單形的確是該空間中構造最簡單的東西。
正單形的定義
在一個n維空間中找到n+1個點,使這些點滿足每兩個點距離相等,那么利用這些點就可以得到一個n維正單形(n-simplex)
通俗地說,正三角形就是二維正單形,正四面體就是三維正單形,正五胞體就是四維正單形。
正五胞體需要說一下,這個“單形”可不是百度百科上的“晶體單形”,很多網站和網友(包括視頻“教你認識四維空間”)所說的單形指的是四維的單形——五胞體,這裡需要指正一下。單形應該 是一個集合。
正單形的二維投影
右圖是前二十維正單形的二維投影,可以說極其簡單,截圖摘自維基百科。
數據
根據前四維單形(點、線段、正三角形、正四面體、正五胞體)的各維度的數據,可以推導到下表的這些數據。
從左到右依次是該單形的頂點數、棱數、(三角形)面數、(四面體)胞數、超胞(四維面)數、五維面數……
0-simplex: 1
1-simplex: 2 1
2-simplex: 3 3 1
3-simplex: 4 6 4 1
4-simplex: 5 10 10 5 1
5-simplex: 6 15 20 15 6 1
6-simplex: 7 21 35 35 21 7 1
7-simplex: 8 28 56 70 56 28 8 1
8-simplex: 9 36 84 126 126 84 36 9 1
9-simplex: 10 45 120 210 252 210 120 45 10 1
10-simplex:11 55 165 330 462 462 330 165 55 11 1
似曾相識吧,這個數列就是楊輝三角,不過最左邊少了一行1(其實這樣“1”是存在的,屬於負一維產物)
正單形坐標
正單形的坐標很難算(詳細坐標英文維基上有),不過如果把它放到高一維的話會簡單很多,
例如把一個正三角形放到三維,則它的三點坐標可以是(1,0,0)(0,1,0)(0,0,1),
同樣地一個正四面體放到四維後四個頂點可以是(1,0,0,0)(0,1,0,0)(0,0,1,0)(0,0,0,1)
如此類推。
