介紹
在經典力學, 歐拉加速度(以萊昂哈德·歐拉的名字命名)是在非均勻旋轉的參照系中分析運動時出現的加速度。本文僅限於旋轉軸固定的參考系。
歐拉力是一個物體受的假想力,與歐拉加速度有著F=ma的關係,其中a是歐拉加速度、m是物體的質量。
歐拉加速度
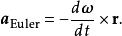
下式給出了歐拉加速度的方向和大小:
歐拉力其中:
•ω是旋轉參照系的角速度;
•r加速度所處的點相對旋轉軸的向量。
數學表述
由歐拉加速度得出歐拉力是:
歐拉力其中:
•m是受假想力的物體的質量。
相關條目
•假想力
•科里奧利力
•離心力
•旋轉參照系

