名詞解釋
欠驅動系統是指系統的獨立控制變數個數小於系統自由度個數的一類非線性系統,在節約能量、降低造價、減輕重量、增強系統靈活度等方面都較完全驅動系統優越。欠驅動系統結構簡單,便於進行整體的動力學分析和試驗。同時由於系統的高度非線性、參數攝動、多目標控制要求及控制量受限等原因,欠驅動系統又足夠複雜,便於研究和驗證各種算法的有效性。
典型的欠驅動系統
橋式吊車、倒立擺系統、垂直起降飛行器、柔性機械手等都是典型的欠驅動系統。
倒立擺系統
欠驅動系統
欠驅動系統
欠驅動系統
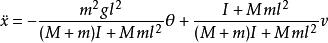
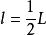
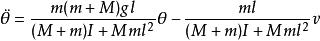
欠驅動系統取一級倒立擺小車質量為,擺的質量為,小車的位置為,擺的角度為,動力學方程為
欠驅動系統
欠驅動系統
欠驅動系統
欠驅動系統
欠驅動系統
欠驅動系統式中,,,為擺的長度,為重力加速度。
欠驅動系統
欠驅動系統
欠驅動系統
欠驅動系統
欠驅動系統針對倒立擺模型,取控制變數為4個,即單級倒立擺的擺角、擺速、小車位置和小車速度。控制的目標是通過給小車底座施加一個力,使小車停留在零位置,並使桿不倒下。倒立擺系統的控制問題一直是控制研究中的一個典型問題。
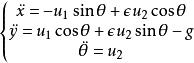
垂直起降飛行器
垂直起降飛行器一般指戰鬥機或轟炸機。該飛行器可實現飛行器自由起落,從而突破跑道的限制,具有重要的軍用價值。其動力學模型為
欠驅動系統
欠驅動系統
欠驅動系統
欠驅動系統
欠驅動系統
欠驅動系統其中,為飛行器質心的位置和滾動角度,為飛行器底部推動控制輸入和滾動控制輸入,為重力加速度,是描述滾動控制輸入和橫向控制輸入之間關係的係數,系統輸出為。該系統具有三個自由度,兩個控制輸入,是一個典型的欠驅動系統。
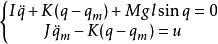
柔性機械手
柔性關節機器人動力學模型可表示為
欠驅動系統
欠驅動系統
欠驅動系統
欠驅動系統
欠驅動系統
欠驅動系統其中,分別表示連桿和轉子的角位置,分別表示連桿和轉子的轉動慣量,代表關節剛度係數,分別為連桿質量、重力加速度和連桿重心至關節長度,表示電機轉矩輸入。
