定義
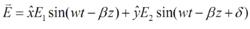
通常,在三維直角坐標系中,沿Z軸正方向的行波的電場同時具有x分量和y分量,兩個分量之間存在相位差,電場的瞬時總矢量場表示為
電場瞬時總矢量場公式(公式1)
(公式1)中, E1為沿x方向的線極化波幅度;E2為沿y方向的線極化波幅度;δ為Ey滯後於Ex的時間減去相位角。
分類
極化方式分為三大類:線極化、橢圓極化、圓極化。其中,線極化又分為水平極化和垂直極化,橢圓極化又可分為左旋橢圓極化和右旋橢圓極化,圓極化又可分為左旋圓極化與右旋圓極化。
水平極化(H):例如,衛星向地面發射信號時,其無線電波的振動方向是水平方向。就類似於我們拿一條繩子左右抖動,產生的波是左右波動。
垂直極化(V):例如,衛星向地面發射信號時,其無線電波的振動方向是垂直方向。就類似於我們拿一條繩子上下抖動,產生的波是上下波動。
判斷方法
在確定的z點處電場矢量作為時間的函式而旋轉,其矢尖所描出的橢圓稱為極化橢圓。該橢圓的軸比(AR)表征了極化方式,判斷方式如下。
極化方式判斷天線的極化方式直接影響到收發天線的匹配和接收效率,因此在構建無線通信系統時,必須清楚所使用天線的極化方式。

